Boletín Oficial de la Comunidad de Madrid - Núm 6

Fecha del Boletín 
08-01-2019

Sección 1.3.90.1: I. COMUNIDAD DE MADRID


Código de Verificación Electrónica (CVE): BOCM-20190108-16

Páginas: 11


I. COMUNIDAD DE MADRID

C) Otras Disposiciones

CONSEJERÍA DE EDUCACIÓN E INVESTIGACIÓN

16
ORDEN 4439/2018, de 14 de diciembre, del Consejero de Educación e Investigación, por la que se resuelve la convocatoria de ayudas a la atracción de talento investigador para su incorporación a grupos de investigación de la Comunidad de Madrid.

La Orden 1553/2016, de 17 de mayo, del Consejero de Educación, Juventud y Deporte, establece las bases reguladoras de ayudas destinadas a la atracción de talento investigador para su incorporación a grupos de investigación de la Comunidad de Madrid, y la Orden 2273/2018, de 21 de junio, del Consejero de Educación e Investigación, aprueba la convocatoria de ayudas correspondientes al año 2018.

Concluido el proceso de evaluación de solicitudes, conforme a lo previsto en los artículos 8 y 9 de la Orden 1553/2016 y de los artículos 20, 21, 34 y 35 de la Orden 2273/2018, de acuerdo con la propuesta de las Comisiones de Selección reunidas el día 7 de noviembre de 2018 para cada una de las modalidades de las ayudas: Modalidad 1, Ayudas para la contratación de doctores con experiencia; Modalidad 2, Ayudas para la contratación de jóvenes doctores.

Vista la memoria explicativa del Director General de Investigación e Innovación y en uso de las atribuciones que me han sido conferidas por las disposiciones vigentes,

DISPONGO

Primero

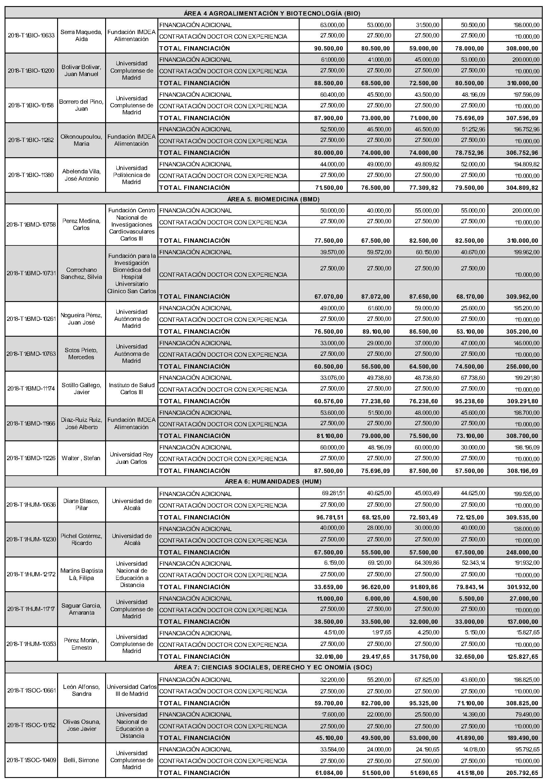
Resolver la convocatoria de ayudas destinadas a la atracción de talento investigador para su incorporación a grupos de investigación de la Comunidad de Madrid, de acuerdo con los siguientes investigadores candidatos, entidades beneficiarias y cantidades concedidas que se detallan en los Anexos I para la modalidad 1 y Anexo II para la modalidad 2.

Segundo

Aprobar la siguiente relación ordenada de candidatos de reserva en cada modalidad por área científica (Anexo III y V). En caso de producirse alguna renuncia de los candidatos seleccionados, se podrá proceder a su sustitución entre los siguientes candidatos de cada área de cada modalidad. Si se hubiera agotado la lista de candidatos de esa área científica, podrá realizarse la sustitución entre los candidatos que han obtenido mejor puntuación en otras áreas científicas, según la relación ordenada de candidatos del Anexo IV y VI. El resto de solicitudes presentadas se consideran desestimadas.

Tercero

Autorizar la disposición de un gasto total de la convocatoria por importe de 16.000.000 de euros, que se imputará al subconcepto 79003 “Plan del retorno del talento investigador” del Programa 466A “Investigación”, distribuido en las siguientes anualidades: 4.000.000 de euros con cargo al presupuesto del año 2018; 4.000.000 de euros con cargo al presupuesto del año 2019; 4.000.000 de euros con cargo al presupuesto de 2020, y 4.000.000 de euros con cargo al presupuesto de 2021.

Cuarto

El libramiento de las ayudas se efectuará de forma anticipada y con carácter previo a la justificación de la finalidad para la que han sido concedidas, a favor de cada entidad beneficiaria de conformidad con lo previsto en el artículo 11 de la Orden 1553/2016, de 17 de mayo, y los artículos 23 y 37 de la Orden 2273/2018, de 21 de junio.

Quinto

La Dirección General de Investigación e Innovación podrá dictar las instrucciones necesarias para el desarrollo y la ejecución de las diferentes modalidades de ayuda al amparo de lo establecido en la Disposición Adicional Primera de la Orden 1553/2016.

Sexto

Las entidades beneficiarias deberán cumplir específicamente las obligaciones correspondientes establecidas en las bases reguladoras y en la convocatoria. El incumplimiento de estas obligaciones, y, en particular, los correspondientes compromisos de cofinanciación por parte de la entidad beneficiaria, podrá ser causa de reintegro de las cuantías percibidas, así como a la exigencia de los intereses de demora, de acuerdo con lo establecido en el artículo 37 de la Ley 38/2003, de 17 de noviembre, General de Subvenciones.

Séptimo

De conformidad con la política de fomento del acceso abierto a los resultados de la investigación científica impulsada por la Comunidad de Madrid, que se alinea con las políticas y recomendaciones realizadas al respecto por la Unión Europea, los investigadores beneficiarios del programa deberán facilitar el acceso abierto a los resultados de su investigación en el repositorio institucional disponible a tal efecto en su institución y/o en el repositorio independiente de la Comunidad de Madrid, en el que deberán depositar una copia del artículo publicado o la versión final del mismo, aceptada para su publicación, junto con los documentos de trabajo, los resultados de las investigaciones y otros, en un plazo no superior a seis meses desde el momento de publicación del artículo.

Octavo

En todas las actividades con difusión pública asociadas a los resultados obtenidos como consecuencia de la ejecución de las acciones subvencionadas, en las infraestructuras que se adquieran con cargo a estas ayudas, total o parcialmente, y en el caso de que los resultados obtenidos dieran lugar a publicaciones, y en los contratos de personal realizados con cargo a estas ayudas, deberá figurar la Comunidad de Madrid como entidad financiadora. Las entidades beneficiarias estarán obligadas a seguir en todo caso las instrucciones que se dicten en este sentido por parte de la Dirección General de Investigación e Innovación.

Noveno

De conformidad con lo previsto en el artículo 8.3 de la Orden 2273/2018, de 21 de junio, las ayudas tendrán una duración de cuatro años en ambas modalidades, con observancia de lo establecido en los artículos 24 y 25, para la modalidad 1; y los artículos 38 y 39, para la modalidad 2, respecto a la justificación de las ayudas y su seguimiento científico-técnico, dado que el resultado de la evaluación del seguimiento, favorable o desfavorable, será determinante para mantener la continuidad de las ayudas.

Los centros de I+D disponen de un plazo de quince días hábiles a contar desde el día siguiente a la publicación de esta resolución en el BOLETÍN OFICIAL DE LA COMUNIDAD DE MADRID para formalizar los contratos con los investigadores, que deberán ser a tiempo completo y tener una duración mínima de cuatro años a partir de la fecha de incorporación de del investigador a su puesto de trabajo. Una copia de dichos contratos deberá ser presentada tras su firma en la Dirección General de Investigación e Innovación.

La fecha concreta de incorporación de cada investigador deberá quedar reflejada en el correspondiente contrato y no podrá superar los tres meses a contar desde el día siguiente al de la publicación de esta resolución en el BOLETÍN OFICIAL DE LA COMUNIDAD DE MADRID. Cualquier modificación en la fecha de incorporación del investigador que se produzca una vez firmado el contrato deberá ser comunicada a la Dirección General de Investigación e Innovación y se deberá recoger en una adenda al contrato que indicará esta nueva fecha. Si no llegara a producirse la incorporación del investigador al centro de I+D, este deberá comunicarlo al órgano concedente con antelación suficiente y como máximo en el plazo de los diez días hábiles siguientes a la fecha de incorporación prevista.

En casos excepcionales y debidamente acreditados, se podrá solicitar una ampliación de plazos para la formalización y presentación de los contratos, que en todo caso deberá contar con la conformidad previa de la Dirección General de Investigación e Innovación.

Los contratos financiados en las modalidades 1 y 2 serán incompatibles con la vigencia de cualquier otro contrato laboral del personal contratado.

Décimo

La justificación de las ayudas y el seguimiento científico-técnico de las ayudas se llevará a cabo de acuerdo con lo establecido en los artículos 24 y 25 para la modalidad 1, y los artículos 38 y 39 en la modalidad 2, de la Orden 2273/2018.

El resultado de la evaluación del seguimiento científico-técnico, favorable o desfavorable, será determinante para mantener la continuidad en la financiación de los contratos y de las ayudas adicionales, en su caso.

Undécimo

El importe de las ayudas se pagará por anticipado a las entidades beneficiarias. El pago de la primera anualidad del contrato se tramitará una vez resuelta la convocatoria. El pago de la ayuda correspondiente a la segunda anualidad estará condicionado a la firma del contrato correspondiente. Los pagos de las anualidades tercera y cuarta están condicionados a la justificación económica de la primera anualidad y a la valoración positiva de los informes de seguimiento científico-técnico señalados en los artículos 25 y 39 de la convocatoria, de justificación económica y de los resultados científicos obtenidos.

Duodécimo

En el caso de contratación de personal laboral de apoyo a la investigación prevista en la modalidad 1, la oferta de plazas deberá hacerse pública, como mínimo y de forma obligatoria, a través del portal de empleo del sistema madri+d, en la dirección: http://www.ma- drimasd.org/empleo/default.asp

La contratación temporal podrá realizarse bajo cualquiera de las figuras laborales existentes, de acuerdo con la naturaleza y procedimientos del centro de investigación beneficiario de la ayuda.

Decimotercero

Cuando surjan circunstancias que alteren las condiciones técnicas o económicas de las ayudas, estas deberán ser comunicadas a la Consejería de Educación e Investigación, a través de la Dirección General de Investigación e Innovación, para su autorización previa.

No obstante, toda alteración de las condiciones tenidas en cuenta para la concesión, y en todo caso, la obtención concurrente de subvenciones concedidas por cualquier entidad pública o privada, nacional o internacional, podrá dar lugar a la modificación de la subvención otorgada, de acuerdo a lo dispuesto en el artículo 6.5 de la Ley 2/1995, de 8 de marzo, y en el artículo 19.4 de la Ley 38/2003, General de Subvenciones.

Decimocuarto

Las entidades beneficiarias, en el caso de suspensiones de los contratos por la concurrencia de situaciones de incapacidad temporal por un periodo de, al menos, tres meses consecutivos, maternidad o paternidad, riesgo durante el embarazo, riesgo durante la lactancia natural de un menor de nueve meses y adopción o acogimiento durante el período de duración del mismo, podrán solicitar la interrupción y prórroga del plazo de ejecución de la ayuda correspondiente al tiempo de la suspensión, adjuntando a su solicitud, en su caso, el contrato o documento justificativo de la prórroga que cubra dicho periodo.

La interrupción y prórroga a la que hace referencia el apartado anterior deberá ser autorizada por la Dirección General de Investigación e Innovación, que podrá recabar los informes que considere oportunos y dar lugar a la modificación de los términos de la concesión mediante nueva resolución.

Esta autorización en ningún caso conlleva un aumento en la cuantía de la ayuda concedida inicialmente. Cualquier incremento en el pago de la cuota patronal de la seguridad social como consecuencia del periodo prolongado será por cuenta del centro de I+D contratante.

Decimoquinto

Contra la presente Orden, que pone fin a la vía administrativa, podrá interponerse recurso ante el propio órgano que lo ha dictado, en el plazo de un mes desde el día siguiente al de su publicación o directamente recurso contencioso-administrativo ante la Sala correspondiente de lo Contencioso-Administrativo del Tribunal Superior de Justicia de Madrid, en el plazo de dos meses, sin perjuicio de cuantos otros recursos estime oportuno deducir.

Madrid, a 14 de diciembre de 2018.

El Consejero de Educación e Investigación, RAFAEL VAN GRIEKEN SALVADOR













(03/41.555/18)

Nota: El contenido del texto de la disposición que aquí se muestra no es necesariamente exacto y completo. Únicamente la disposición publicada con firma electrónica, en formato PDF, tiene carácter auténtico y validez oficial.

Sección 1.3.90.1: I. COMUNIDAD DE MADRID

Madrid Comunidad Digital
Código de Verificación Electrónica (CVE): BOCM-20190108-16