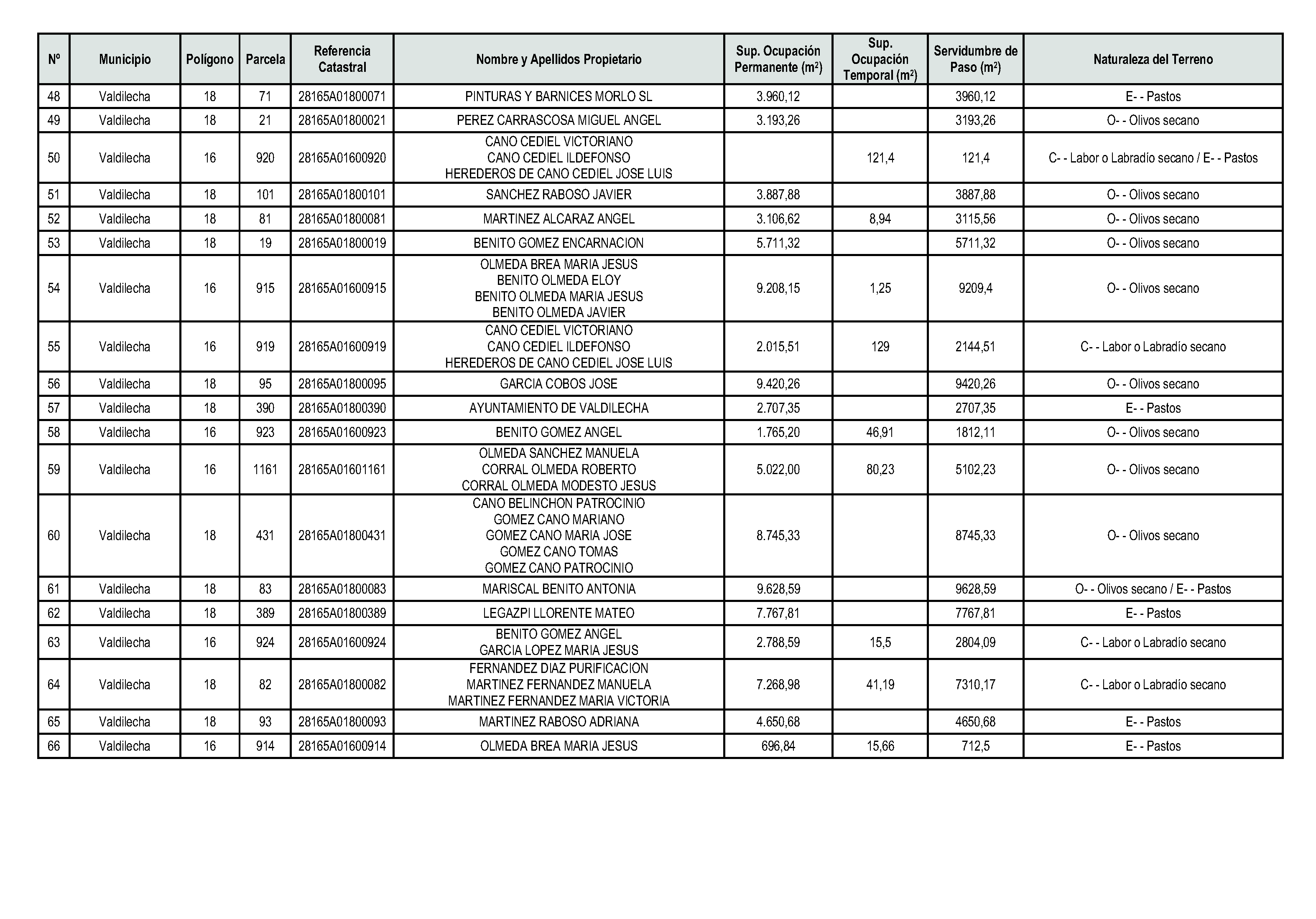
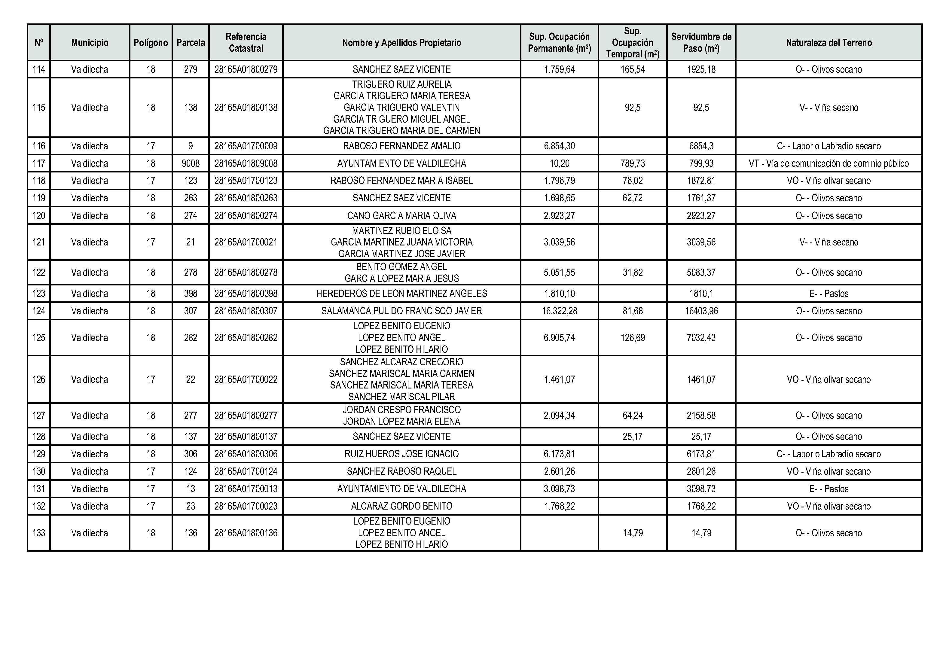
Boletín Oficial de la Comunidad de Madrid - Núm 262
Sección 2.70.1: II. DISPOSICIONES Y ANUNCIOS DEL ESTADO
Código de Verificación Electrónica (CVE): BOCM-20231103-65
Páginas: 85
II. DISPOSICIONES Y ANUNCIOS DEL ESTADO
DELEGACIÓN DEL GOBIERNO EN MADRID
Área Funcional de Industria y Energía

