Boletín Oficial de la Comunidad de Madrid - Núm 92

Fecha del Boletín 
19-04-2022

Sección 1.4.108.1: I. COMUNIDAD DE MADRID


Código de Verificación Electrónica (CVE): BOCM-20220419-63

Páginas: 57


I. COMUNIDAD DE MADRID

D) Anuncios

CONSEJERÍA DE SANIDAD

63
CONVENIO de 21 de junio de 2021, entre el Ministerio de Defensa y la Comunidad de Madrid, en materia de asistencia sanitaria y para la realización de determinadas actuaciones en el terreno de la formación y de la optimización de los recursos sanitarios.

En Madrid, a 21 de junio de 2021.

REUNIDOS

De una parte, D.a María Amparo Valcarce García, Subsecretaria de Defensa, según nombramiento efectuado por el Real Decreto 625/2020, de 30 de junio, en nombre y representación del Ministerio de Defensa, por delegación de la Sra. Ministra de Defensa, de conformidad con el apartado Tercero de la Orden DEF/3015/2004, de 17 de septiembre, sobre delegación de competencias en autoridades del Ministerio de Defensa en materia de convenios de colaboración.

Y de la otra, D. Juan Jorge González Armengol, Viceconsejero de Asistencia Sanitaria y Director General del Servicio Madrileño de Salud, nombrado mediante Decreto 90/2020, de 7 de octubre, del Consejo de Gobierno, en su nombre y en representación del Servicio Madrileño de Salud, actuando en uso de las atribuciones conferidas por el artículo 3 del Decreto 307/2019 de 26 de noviembre, del Consejo de Gobierno, por el que se establece la estructura orgánica de la Consejería de Sanidad, el artículo 1.2 del Decreto 308/2019, de 26 de noviembre, del Consejo de Gobierno, por el que se establece la estructura directiva del Servicio Madrileño de Salud, el artículo 23.2 a) del Decreto 24/2008, de 3 de abril, por el que se establece el régimen jurídico y de funcionamiento del Servicio Madrileño de Salud y el Acuerdo del Consejo de Administración del Servicio Madrileño de Salud, de 9 de mayo de 2008, ratificado en su reunión de 17 de junio de 2020, por el que se delegan determinadas competencias en materia de convenios.

Ambas partes, en la representación que ostentan, se reconocen mutua capacidad para obligarse y convenir y

EXPONEN

Primero

Que el Convenio entre el Ministerio de Defensa y la Comunidad de Madrid, en materia de asistencia sanitaria y para la realización de determinadas actuaciones en el terreno de la formación y de la optimización de los recursos sanitarios firmado el 13 de abril de 2007,modificado por la Cláusula Adicional firmada el 21 de diciembre de 2010 y, por último, en virtud de Adenda firmada el 8 de noviembre de 2018 por la que se incorpora una Cláusula Adicional Octava, dejó de estar en vigor el 2 de octubre de 2019 por aplicación de la Disposición Adicional Octava.1 de la Ley 40/2015,de 1 de octubre, de Régimen jurídico del Sector Público.

Segundo

Que es voluntad de la Consejería de Sanidad de la Comunidad de Madrid poner a disposición de los vecinos de los distritos de Carabanchel y Latina, así como de cualquier ciudadano madrileño que lo desee, los servicios del Hospital Central de la Defensa “Gómez Ulla” Centro Sanitario de “Vida y Esperanza”.

Tercero

Que es voluntad del Ministerio de Defensa mantener la fructífera relación con la Comunidad de Madrid mediante la inclusión del Hospital Central de la Defensa “Gómez Ulla” Centro Sanitario de “Vida y Esperanza” en la Red Sanitaria de Utilización Pública de dicha Comunidad.

Cuarto

Que el Hospital Central de la Defensa “Gómez Ulla” Centro Sanitario de “Vida y Esperanza” dispone del suficiente nivel técnico-asistencial y capacidad de prestaciones como para atender con plena eficacia la demanda asistencial de recursos sanitarios en la Comunidad de Madrid, por lo que resulta conveniente la colaboración entre las redes asistenciales del Ministerio de Defensa y de la Consejería de Sanidad, así como de los profesionales que las asisten, de tal manera que redunde en mejores prestaciones a los beneficiarios de la asistencia sanitaria pública de la Comunidad de Madrid.

Quinto

Que el ejercicio de las funciones sanitarias propias, tanto del Ministerio de Defensa como de la Consejería de Sanidad de la Comunidad de Madrid, requiere una adecuada capacitación del personal sanitario, capacitación que se pretende conseguir, dada su especial relevancia, mediante la participación en programas de formación y prácticas en la forma que se determine conjuntamente.

Sexto

Por último, que se considera necesario optimizar el uso de los recursos puestos a disposición de ambas administraciones mediante una adecuada coordinación entre las mismas.

Se formaliza el presente Convenio de conformidad con lo dispuesto en el artículo 26 de la Ley Orgánica 3/1983, de 25 de febrero de Estatuto de Autonomía de la Comunidad de Madrid, artículo 21 y 44 de la Ley 1/1983 de Gobierno y Administración de la Comunidad, artículo 61 de la Ley 12/2001 de Ordenación Sanitaria de la Comunidad de Madrid y conforme a lo dispuesto en el Decreto 48/2019, de 10 de junio, por el que se regula la actividad convencional de la Comunidad de Madrid.

Por todo lo expuesto, ambas partes acuerdan suscribir el presente Convenio que se regirá por las siguientes:

CLÁUSULAS

Primera

Objeto del Convenio

Establecer las bases de relación entre el Ministerio de Defensa y la Comunidad de Madrid en materia de asistencia sanitaria y para la realización de determinadas actuaciones en el terreno de la formación y de la optimización de los recursos sanitarios, dentro del ámbito de competencia de cada una de las partes, con vistas a la utilización de los recursos que se detallan a continuación.

Segunda

Alcance y características de la relación en materia de asistencia sanitaria: cartera de Servicios

La oferta asistencial del Hospital Central de la Defensa “Gómez Ulla” Centro Sanitario de “Vida y Esperanza”, en adelante HCDGU-CSVE, al Servicio Madrileño de Salud, en adelante SERMAS, viene determinada por su cartera de servicios, que se incorpora como Anexos II y III del presente Convenio.

Cualquier modificación de la cartera de servicios de obligado cumplimiento para la asistencia sanitaria distinta de la incorporada en los Anexos II y III, se financiará según las condiciones económicas que convengan ambas partes mediante adenda.

La inclusión en el Convenio de servicios asistenciales distintos de los expresados en los anexos citados requerirá la propuesta previa de la Comisión de Seguimiento del Convenio y el acuerdo de ambas partes mediante adenda.

Tercera

Ámbito de la asistencia

El HCDGU-CSVE prestará asistencia sanitaria de Atención Especializada a:

— La población correspondiente a los Centros de Atención Primaria de las Zonas Básicas de Salud, que aquí se relacionan correspondientes a los distritos de Carabanchel y Latina, según el registro de Tarjeta Individual Sanitaria de 31 de diciembre de 2020.

— La población de la Comunidad de Madrid que haya ejercido su derecho a la libre elección de hospital y médico en los términos establecidos (asistencia relacionada con el Título IV, artículo 27, apartado 9 de la Ley 12/2001, de 21 de diciembre, de Ordenación Sanitaria de la Comunidad de Madrid, que establece el derecho a la libre elección de médico y centro y a una segunda opinión): ámbito libre elección.

— Los beneficiarios del Sistema Nacional de Salud desplazados desde cualquier parte del territorio español que sean derivados por los dispositivos de Atención Primaria correspondientes.

— Se incluye la asistencia de carácter urgente a pacientes de cualquier procedencia, así como la asistencia que, con este carácter, se preste a la población a la que le sea de aplicación lo establecido en la Ley 4/2000, de 11 de enero, de derechos y libertades de los extranjeros en España y su integración social.

— Caso de existir un tercero obligado al pago por razón de seguro privado, mutua profesional, etc. la asistencia prestada será facturada a éste.

— Se incluye la atención prestada a pacientes acogidos a cualquier concierto internacional de asistencia sanitaria que haya firmado el Estado Español y que sean remitidos por los facultativos de las ZBS asignadas.

— La asistencia prestada a pacientes beneficiarios del Servicio Madrileño de Salud que hayan sido derivados por éste, en cumplimiento de los programas sanitarios específicos, como la utilización de la Cámara Hiperbárica y el Servicio de Oncología Radioterápica del Centro: actividad complementaria.

— Asimismo, se incluyen las interconsultas y pruebas diagnósticas contempladas en este Convenio y recogidas en los Anexos II y III. Dicha actividad corresponde a la que soliciten los profesionales de Atención Primaria asignados, con arreglo a los criterios establecidos en el Anexo II. El acceso ordinario de los pacientes se efectuará mediante Parte de Interconsulta (PIC) o su equivalente informático, emitido por el médico de Atención Primaria, o según la documentación que para otros supuestos establezca el órgano competente de la Consejería de Sanidad.

El HCDGU-CSVE no podrá rechazar ninguna asistencia que se encuentre prevista en la Cartera de Servicios Comunes del Sistema Nacional de Salud. De no existir la prestación en su propia Cartera de Servicios, el Centro Sanitario se encargará de canalizar al paciente al dispositivo oportuno, público o concertado del Servicio Madrileño de Salud, en la forma establecida por el órgano administrativo correspondiente.

Para evitar retrasos en las derivaciones de pacientes desde el HCDGU-CSVE a centros públicos o concertados, en aquellas prestaciones no incluidas en la cartera de servicios del HCDGU-CSVE o que superen su capacidad, la derivación de los pacientes se tramitará a través de la Unidad de Ordenación Asistencial de la Dirección General del Proceso Integrado de Salud del SERMAS; estas derivaciones no tendrán repercusión económica para el HCDGU-CSVE.

Zonas Básicas de Salud asignadas: El HCDGU-CSVE será el centro de referencia para la población con derecho a asistencia sanitaria por parte del Servicio Madrileño de Salud de las Zonas Básicas que a continuación se especifican y cuya población se estima en 100.000 tarjetas sanitarias:

También se incluye en al ámbito poblacional de este Convenio la población adscrita a la Zona Básica de Salud de Los Cármenes, delimitada por la Avenida de Nuestra Señora de Valvanera y correspondiente a las secciones censales 10.082,10.083, 10.084, 10.085 y 10.086.

Si durante la vida del presente convenio se produjera alguna modificación que afectase a la zonificación sanitaria por parte de la Consejería de Sanidad y por ende a la población de referencia del HCDGU-CSVE indicada anteriormente, está deberá ser comunicada fehacientemente y obligará a la revisión de la cuantía económica del convenio suscrito en los términos que se propongan, sin carácter vinculante, en la Comisión de Seguimiento del Convenio y posterior acuerdo de las partes mediante adenda.

Con el objeto de facilitar la accesibilidad al centro de estos pacientes, el HCDGU-CSVE tendrá abiertas tanto la puerta de acceso a la Glorieta del Ejercito del distrito de Carabanchel como a la de la calle Yébenes del distrito de Latina.

Cuarta

Modalidades de prestación de servicios por el centro sanitario

Las modalidades de prestación de servicios serán las siguientes:

1. Hospitalización.

2. Urgencias (con o sin ingreso posterior).

3. Consultas externas:

— Primeras.

— Sucesivas.

— Primeras de Alta Resolución.

— E-Consultas.

4. Actividad quirúrgica mayor ambulatoria (C.M.A.).

5. Otros procedimientos quirúrgicos ambulatorios.

6. Hospital de Día.

7. Procedimientos de valoración singular:

— Implantación de neuroestimulador intracraneal electrodos medulares y bombas para el tratamiento del dolor, generadores y neuroestimuladores y desfibriladores.

— Revisión de marcapasos sin sustitución de generador.

— Revisión de marcapasos con sustitución de generador.

— Litotricia.

— Hemodinámica diagnóstica ambulatoria.

— Hemodiálisis en régimen ambulatorio/hospitalario.

— Diálisis peritoneal.

— Radioterapia y braquiterapia.

— Estudio polisomnográfico.

— Radiología vascular e intervencionista ambulatoria.

— Tratamiento con toxina botulínica.

— Rehabilitación (Fisioterapia).

— Telemedicina.

— Tratamiento ablativo de restos tiroideos con I-131.

— Oftalmología: inyección intravítrea, tratamiento con láser.

— Extracción de órganos y tejidos e implante de tejidos.

8. Todas aquellas técnicas diagnósticas contempladas en el Catálogo de Pruebas disponibles desde Atención Primaria.

9. Dispensación ambulatoria de medicamentos de uso hospitalario:

Programas Terapéuticos con tarifa:

i. Pacientes VIH en tratamiento con antirretrovirales.

ii. Pacientes en tratamiento de la hepatitis viral C. La financiación de dichos tratamientos se realizará de forma individual por paciente, teniendo en cuenta los pacientes correctamente registrados en la aplicación RUA-VHC y el coste del tratamiento más eficiente en cada momento en función de las características de la enfermedad (grado de fibrosis, genotipo del virus). Periódicamente, se remitirá al hospital una tabla con los tratamientos más eficientes. Para el cálculo se aplicarán los mismos criterios que para el resto de los hospitales del SERMAS.

iii. Pacientes en tratamiento esclerosis múltiple.

iv. Pacientes en tratamiento con Eritropoyetina en pre-diálisis y quimioterapia ambulatoria (según protocolo ASCO).

v. Pacientes en tratamiento de hepatitis B.

vi. Pacientes en tratamiento con Hormona de crecimiento.

vii. Pacientes en tratamiento de Hipertensión Pulmonar (No parenteral).

viii. Pacientes en tratamiento de Artritis Reumatoide (T. Biológica).

ix. Pacientes en tratamiento de Artritis Psoriásica (T. Biológica).

x. Pacientes en tratamiento de Espondiloartropatias (T. Biológica).

xi. Pacientes en tratamiento de Psoriasis (T. Biológica).

xii. Pacientes en tratamiento de Enfermedad inflamatoria intestinal (T. Biológica).

xiii. Pacientes en tratamiento de Asma (T.biológica).

xiv. Dermatitis atópica grave (Terapia biológica).

xv. Arteritis de células gigantes.

xvi. Hipercolesterolemia tratada con iPCSK9.

xvii. Profilaxis de la migraña (Terapia biológica).

xviii. Poliquistosis renal autosómica dominante.

xix. Hidrosadenitis supurativa.

xx. Uveitis no infecciosa adultos e infantile.

xxi. Urticaria crónica espontánea.

xxii. Pacientes que reciban tratamientos de uso hospitalarios que entren en financiación pública a través de dispensación externa durante el presente ejercicio con las tarifas que se regulen por el SERMAS y se incorporen mediante Adenda.

Medicamentos antineoplásicos orales (ANEO) y otros de alto impacto económico: Se incluirán los medicamentos orales DHDH o de Uso hospitalario de los grupos terapéuticos ATC: L01, L02 y L04 (L04AX02 (talidomida), L04AX04 (lenalidomida), L04AX05 (pirfenidona) y L04AX06 (pomalidomida)), A05AA04 (obeticolico, acido), B02BX05 (eltrombopag) y N04BA02 (duodopa), en sus indicaciones aprobadas por la EMA y/o AEMPS y financiadas en el SNS.

10. Tratamientos en Cámara Hiperbárica.

11. Procedimientos diagnósticos ambulatorios de alto coste y/o complejidad.

12. Técnicas diagnósticas y terapéuticas prescritas en Atención Primaria (No incluidas en el apartado 8).

La definición y alcance de cada uno de estos conceptos se recoge en el Manual de Facturación Intercentros vigente, común para los hospitales concesionados y resto de hospitales públicos del Servicio Madrileño de Salud.

Quinta

Criterios Básicos de Asistencia Sanitaria

El HCDGU-CSVE se compromete a prestar los servicios asistenciales con altos niveles de calidad científico-técnica, seguridad, eficiencia y orientación al paciente y a cumplir los compromisos institucionales planteados a tal fin.

El HCDGU-CSVE garantizará la accesibilidad a las prestaciones sanitarias en los tiempos de respuesta de modo que se cumplan dichos compromisos institucionales. Dichos tiempos de respuesta se ajustarán al presente Convenio.

Se mencionan a continuación de forma expresa algunos de los criterios básicos asumidos para la prestación asistencial de la cartera de servicios en sus diferentes modalidades asistenciales.

1. Primeras Consultas.—La espera máxima para la atención de las primeras consultas será:

En las citas solicitadas desde Atención Primaria con sospecha de enfermedad grave, será inferior a quince días naturales. El paciente dispondrá de los resultados de las posibles exploraciones solicitadas, la valoración diagnóstica y la orientación terapéutica en un máximo de cuarenta días naturales a partir de la fecha de la primera consulta.

Para la atención del resto de primeras consultas, será inferior a cuarenta días naturales, computados desde la fecha de indicación de la citación.

Las esperas de consultas y técnicas serán valoradas a través del fichero del Sistema de Información de Consultas Externas y Técnicas Diagnósticas y Terapéuticas (SICYT) contabilizadas desde la fecha de indicación (o la correspondiente a la prescripción médica o solicitud voluntaria del paciente) hasta el día de la cita. Este fichero informático deberá ser remitido mensualmente por el centro sanitario al Servicio Madrileño de Salud.

2. Intervenciones quirúrgicas programadas.—El registro de los pacientes, los diagnósticos, las técnicas y la espera quirúrgica se realizará de acuerdo con los criterios que dicte la Consejería de Sanidad para el Registro Unificado de Lista de Espera Quirúrgica (RULEQ). En cumplimiento del plan integral de reducción de la espera quirúrgica, a 31 de diciembre del 2021 la demora máxima de los procesos quirúrgicos oncológicos no podrá ser superior a 30 días.

Las intervenciones quirúrgicas de carácter urgente se realizarán sin demora.

3. Técnicas diagnósticas y terapéuticas.—Las técnicas diagnósticas y terapéuticas prescritas, tanto por los facultativos de Atención Primaria (Anexo III) como por los de Atención Especializada, tendrán el siguiente alcance y plazo de respuesta o espera máxima en función de la Cartera de Servicios y modalidad asistencial de que se trate y que pasamos a relacionar:

3.1. Endoscopias: El tiempo máximo de realización de las pruebas será computado desde la recepción de la prescripción hasta la realización del estudio, que se documentará mediante informe del médico responsable, acompañado cuando sea posible de accesibilidad a imagen o soporte impresión. Los plazos máximos de realización del estudio para panendoscopia oral, rectoscopia/sigmoidoscopia/colonoscopia, broncoscopia, cistoscopia e histeroscopia serán:

— En el caso de pacientes ingresados, en veinticuatro horas.

— Para pacientes ambulatorios:

• Quince días naturales para pacientes con sospecha de patología grave.

• Cuarenta días naturales para el resto.

3.2. Técnicas diagnósticas cardiológicas: El tiempo máximo de realización de las pruebas será computado desde la recepción de la prescripción hasta la realización del estudio, que se documentará mediante informe del médico responsable, acompañado cuando sea posible de accesibilidad a imagen o soporte de impresión. El informe debe ser accesible al Servicio/Unidad/Facultativo peticionario en las 48 horas siguientes a la realización de la prueba. Los plazos máximos de realización del estudio de ergometría, holter ECG (ecocardiograma), holterTA (tensión arterial) y ecocardiografía serán:

— En el caso de pacientes ingresados, en veinticuatro horas.

— Para pacientes ambulatorios:

• Quince días naturales para peticiones con sospecha de enfermedad grave.

• Cuarenta días naturales para el resto.

3.3. Otras Técnicas: El tiempo máximo de realización de otras técnicas contempladas en el Catálogo de Pruebas Diagnósticas disponibles desde Atención Primaria, computado desde la indicación de la prescripción hasta la realización del estudio y emisión del informe será, con carácter general, de cuarenta días naturales.

Periódicamente, el Servicio Madrileño de Salud efectuará una verificación del grado de cumplimiento de las esperas. En caso de que éstas se aparten de las previsiones, el centro sanitario deberá elaborar un plan de absorción de las mismas. Dicho plan será objeto de aprobación y seguimiento por el Servicio Madrileño de Salud e incorporará las penalizaciones que procedan en función de su incumplimiento”.

El HCDGU-CSVE, en la ejecución de este Convenio, y sin perjuicio de la autonomía de gestión del centro, ajustará su funcionamiento a las directrices y normas de carácter general que dicten las Autoridades Sanitarias, en orden a la efectiva coordinación de los servicios en el ámbito de la Comunidad de Madrid.

El Servicio Madrileño de Salud solicitará la información de carácter técnico-sanitario o económico que estime necesarias, debiendo el HCDGU-CSVE prestar su plena colaboración y los medios auxiliares precisos.

La Gerencia de Atención Primaria y el HCDGU-CSVE propiciaran el establecimiento de procesos integrados de asistencia para las patologías más prevalentes, de forma y manera que el paciente sea atendido en el lugar y momento más adecuado, por el profesional competente.

El HCDGU-CSVE participará en todas aquellas actuaciones diseñadas por la Consejería de Sanidad para garantizar la coordinación entre niveles asistenciales, la continuidad asistencial y la atención integral de los pacientes, así como para la implantación de todas las medidas relacionadas con la prescripción de medicamentos.

Con respecto a los sistemas de información, el HCDGU-CSVE implementará en la medida de lo posible, las adaptaciones en los sistemas de información sanitaria requeridas por la Consejería de Sanidad, con las limitaciones determinadas por la política CIS (Sistemas de Información y Comunicaciones) del MDEF.

Las modificaciones que, con carácter general, se establezcan en los sistemas de información, serán comunicadas con suficiente antelación por el órgano competente de la Consejería de Sanidad al centro responsable de la política CIS del MDEF (CESTIC), quien las incorporará en la medida de lo posible, respetando las normas de seguridad del MDEF.

El HCDGU-CSVE adoptará aquellas medidas que hagan posible que la Historia Clínica sea accesible informáticamente, con los criterios establecidos por el Servicio Madrileño de Salud para todos los centros de la Red Sanitaria Única de Utilización Pública, con las limitaciones determinadas por la política CIS del MDEF.

El HCDGU-CSVE utilizará la Base de Datos poblacional de Tarjeta Individual Sanitaria. El número (Código de Identificación del Paciente Autonómico) se utilizará como base identificadora del paciente.

El HCDGU-CSVE se compromete al cumplimiento de las actuaciones del Plan de Acogida en los Centros Sanitarios integrado en el Plan de Calidad de los Servicios de la Comunidad de Madrid. Así mismo tendrán que disponer de personal de información en admisión, servicios de urgencia, cirugía mayor ambulatoria y consultas externas que seguirán las directrices marcadas por la Dirección General de Humanización y Atención al Paciente, de la Consejería de Sanidad.

Sexta

Información

El HCDGU-CSVE facilitará, la información de naturaleza asistencial, epidemiológica, sociosanitaria, docente, contable y de cualquier otra índole que precise el Servicio Madrileño de Salud en el ámbito de este Convenio, en concordancia con el resto de Hospitales del SERMAS, en los plazos que determina anualmente la Dirección General de Sistemas de Información y Equipamientos Sanitarios, y en cualquier momento que lo requiera el SERMAS. Asimismo, la actividad facturada en las distintas líneas de actividad, deberá ser congruente con la información contenida en los Sistemas de Información Sanitaria, más concretamente con el Conjunto Mínimo Básico de Datos (CMBD), Sistema de Información de Consultas y Técnicas (SICYT) y Sistema de Información de Urgencias, y aquellos otros que oficialmente sean recogidos por la Dirección General de Sistemas de Información.

El HCDGU-CSVE elaborará una memoria anual de la actividad asistencial, docente e investigadora y económica realizada en el ejercicio anterior en el centro sanitario relativa a este Convenio.

El HCDGU-CSVE vendrá obligado a incorporar los elementos identificativos tanto en el interior como en el exterior del hospital que den visibilidad al Convenio con el Servicio Madrileño de Salud y a comunicar a los pacientes del Sistema Público los extremos del Convenio que puedan afectarles, así como las normas e instrucciones dirigidas a los usuarios de los Servicios por la Consejería de Sanidad o por el SERMAS.

El HCDGU-CSVE dará cumplimiento a lo dispuesto en la Ley 41/2002, de 14 de noviembre, básica reguladora de la autonomía del paciente y de derechos en materia de información y documentación clínica.

El HCDGU-CSVE remitirá al órgano competente de la Consejería de Sanidad, la información asistencial, recogida en el Sistema de Información de Atención Especiali zada (SIAE), Sistema de Información de Consultas y Técnicas diagnósticas (SICYT), Conjunto Mínimo Básico de Datos (CMBD) y Registro Unificado de Listas de Espera Quirúrgica (RULEQ) y aquellos otros que sean solicitados oficialmente por la DGSIS. Actualmente la periodicidad es mensual para el SICYT y SIAE y anual para el CMBD. En todo caso, las modificaciones que con carácter general, se establezcan en los sistemas de información, serán comunicadas de inmediato por el órgano competente de la Consejería de Sanidad al Centro Sanitario quien las incorporará, respetando las normas de Seguridad del Ministerio de Defensa.

El HCDGU-CSVE está incluido en el registro de tumores y se compromete a remitir información relativa al Plan Integral del Cáncer con el formato, los plazos y la periodicidad que determine la Oficina Regional de Coordinación Oncológica de la Comunidad de Madrid, en virtud de lo establecido en la Orden de 26 de octubre de 2005, de la Consejería de Sanidad, por la que se crea el sistema de información oncológica de la Comunidad de Madrid denominado Intercambio de Datos de Cáncer en la Comunidad de Madrid.

El HCDGU-CSVE dispondrá las medidas necesarias para obtener donaciones de sangre, con el objetivo de que cubran, al menos el 50% de sus requerimientos hemoterápicos, de acuerdo a su actividad asistencial. Asimismo, dispondrá de los sistemas informáticos necesarios que garanticen la trazabilidad de los componentes trasfundidos y aseguren la hemovigilancia, de acuerdo a la normativa vigente.

El HCDGU-CSVE dispondrá de hojas de reclamación, queja o sugerencias a disposición del público. La copia de las reclamaciones y quejas recibidas, en el tiempo y forma que se determine, en función de lo dispuesto en la Orden 605/2003, de 21 de abril, de las Consejerías de Presidencia y Sanidad, por la que se desarrolla el Sistema de Sugerencias, Quejas y Reclamaciones de la Comunidad de Madrid en la Red Sanitaria Única de Utilización Pública, será enviada por el Centro al órgano competente de la Consejería de Sanidad.

Todas las reclamaciones o quejas habrán de ser contestadas, en el plazo que determina el artículo 5 de la Orden 605/2003, de 21 de abril, de las Consejerías de Presidencia y Sanidad, por la que se desarrolla el Sistema de Sugerencias, Quejas y Reclamaciones de la Comunidad de Madrid en la Red Sanitaria Única de Utilización Pública, por la Dirección del Hospital con copia al órgano competente de la Consejería de Sanidad en el caso de que hagan referencia a la organización, el orden, los servicios internos o incidencias en la asistencia recibida. Por el Servicio Madrileño de Salud, previo informe de la Dirección del Centro, se contestarán y/o resolverán las cuestiones que hagan referencia al propio Convenio, su naturaleza y alcance y a las prestaciones del Servicio Madrileño de Salud.

— Contestación de reclamaciones en los tiempos que exige la legislación vigente (menos de 30 días).

— Introducción en la aplicación informática CESTRACK de la totalidad de reclamaciones interpuestas en el centro.

— Contestación de las reclamaciones que incluyan todos los parámetros previstos en la normativa vigente (motivo de la reclamación, actuaciones, conclusión, identificación del firmante).

Con independencia de la respuesta dada al interesado, el SERMAS o el órgano administrativo competente, según la materia de la que se trate, podrá recabar la información complementaria que precise relativas a la reclamación o queja recibida.

Séptima

Régimen Económico. Financiación, facturación, abono y liquidación

El Convenio contempla la financiación para los ejercicios correspondientes a los cuatro años posteriores contados a partir de la fecha de eficacia del Convenio.

1. Financiación.

1.a. Financiación por asistencia sanitaria sustitutoria:

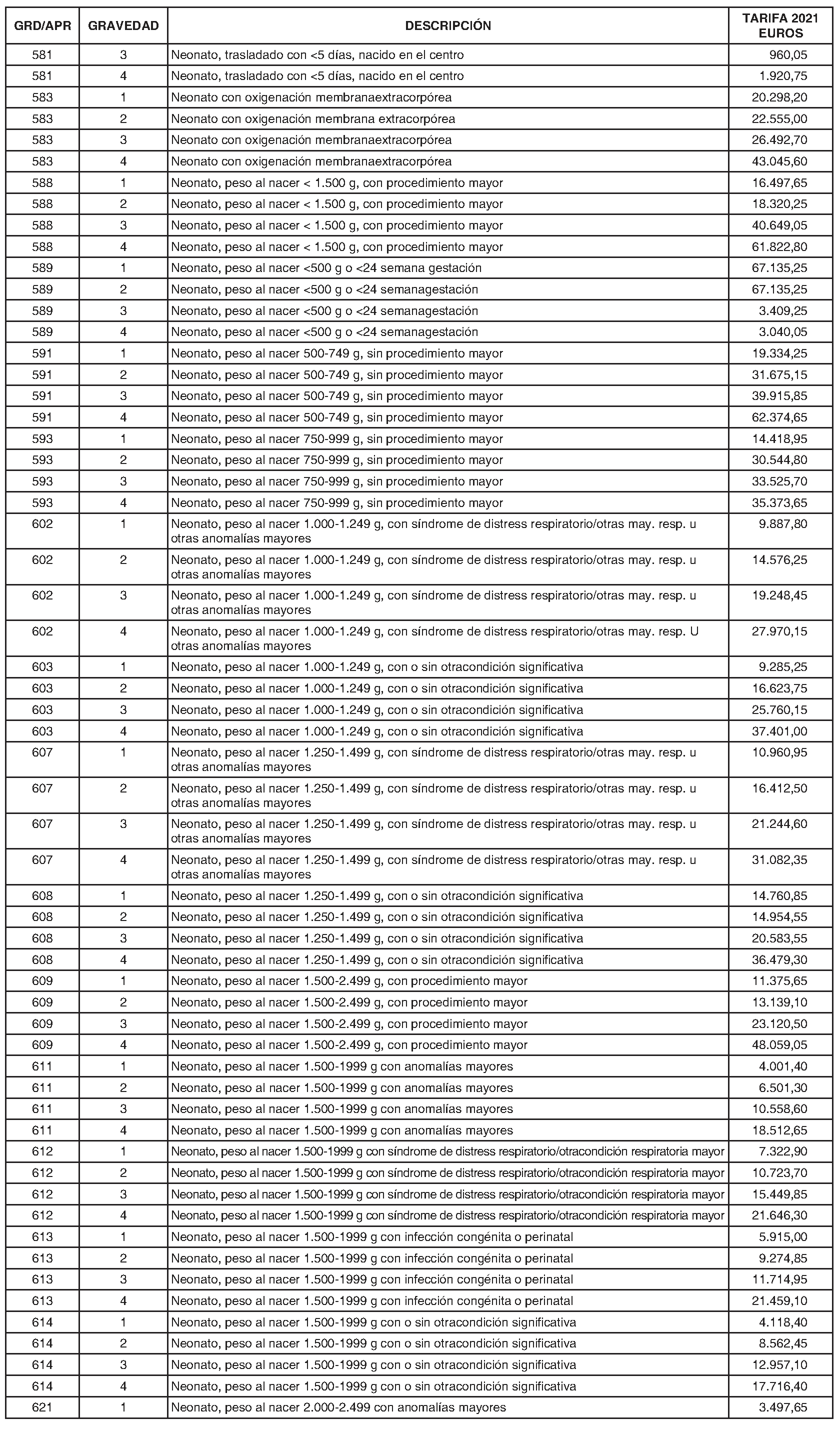
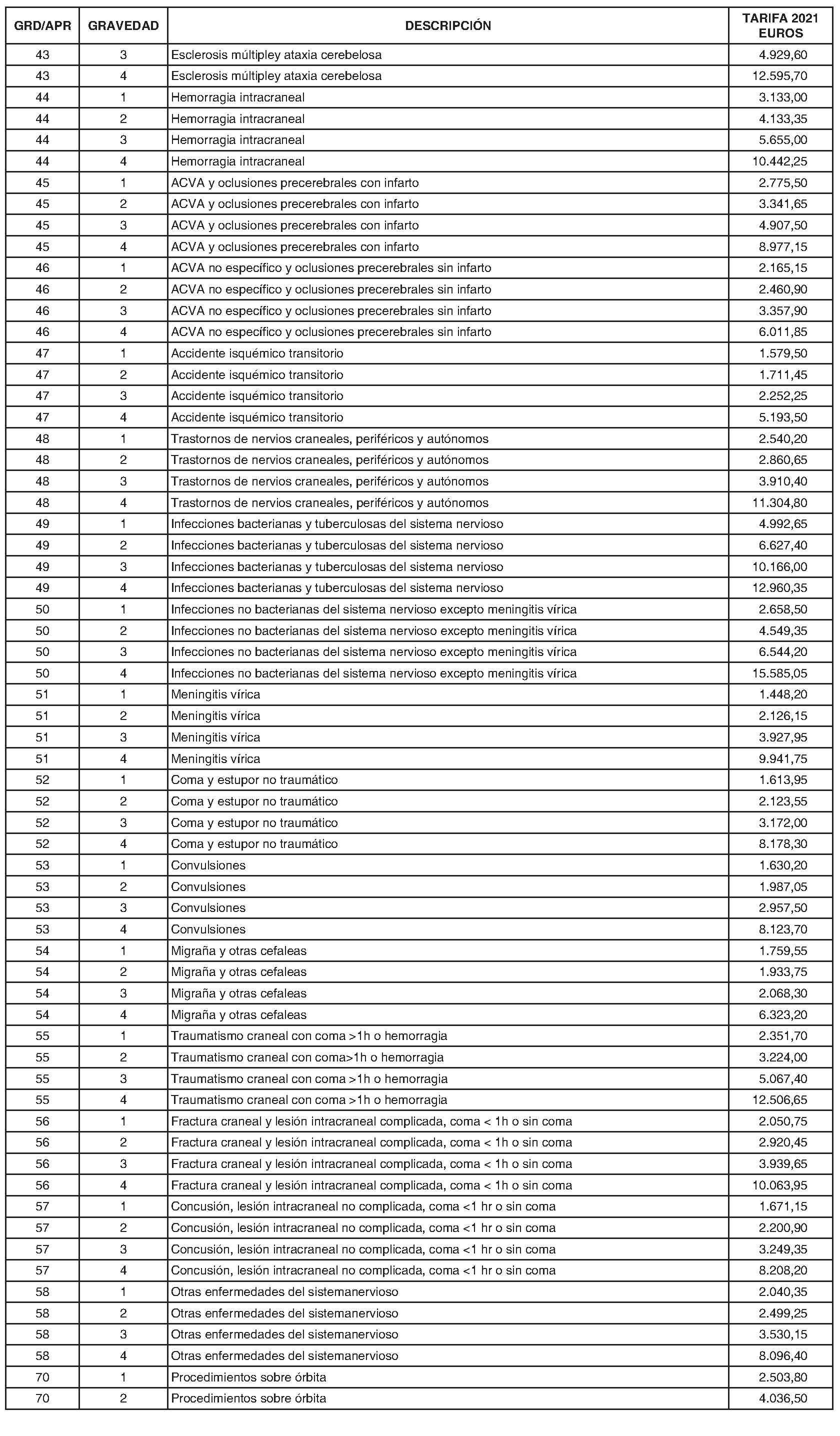
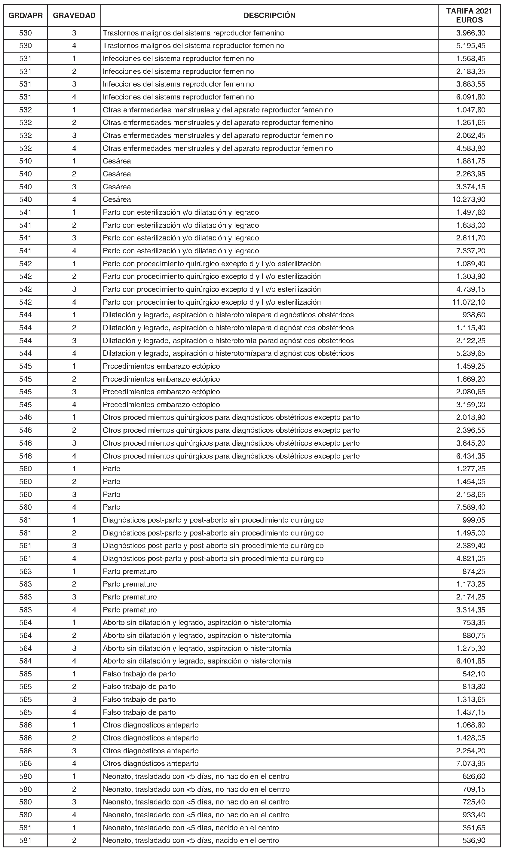
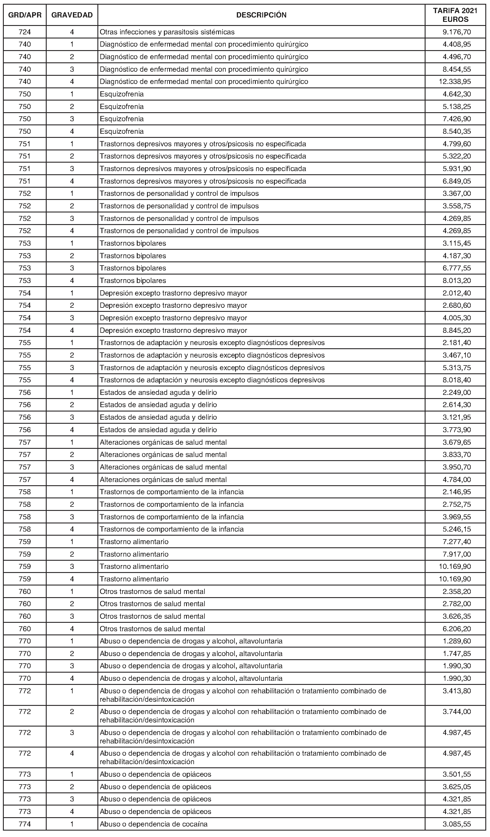
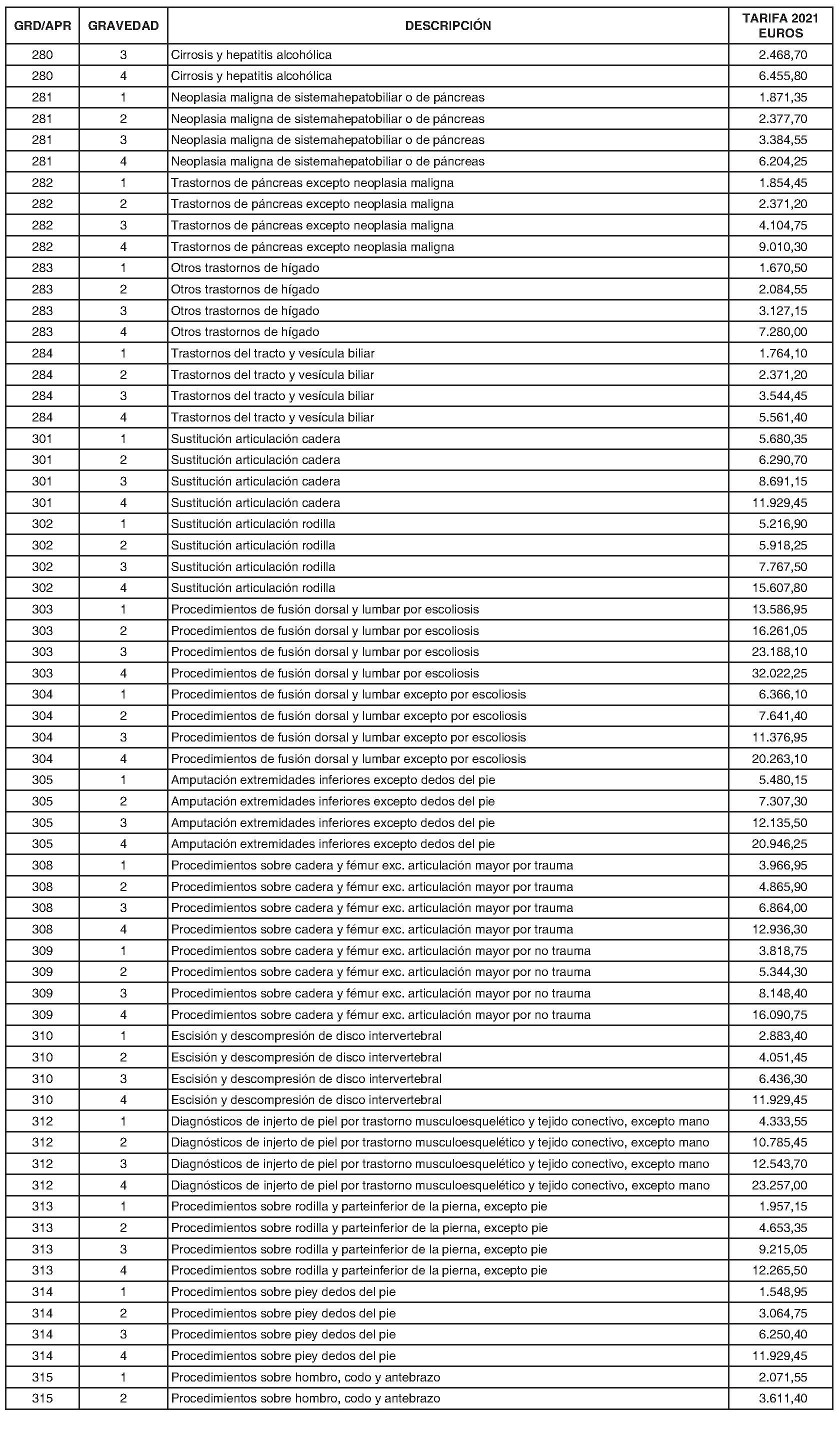
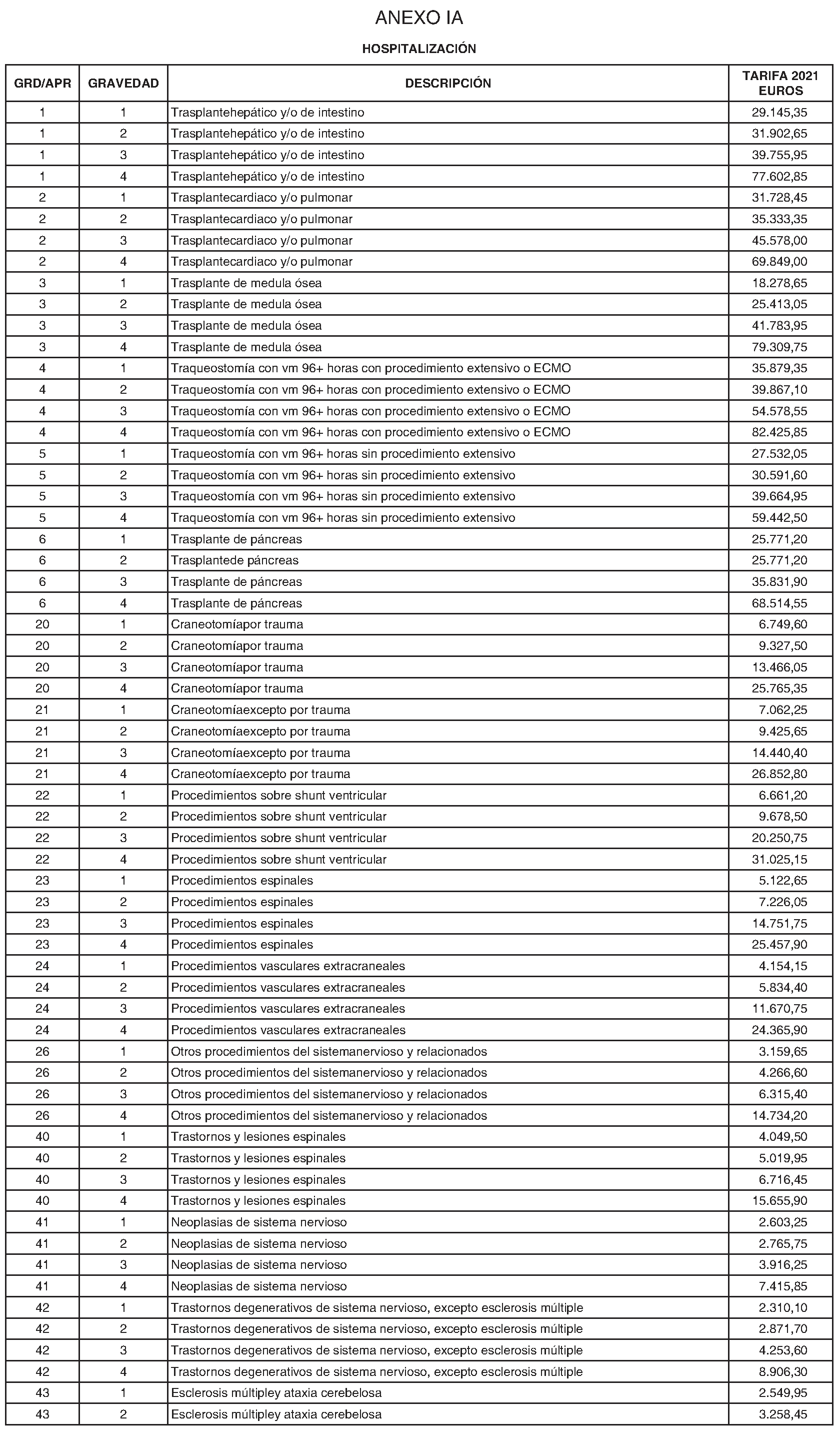
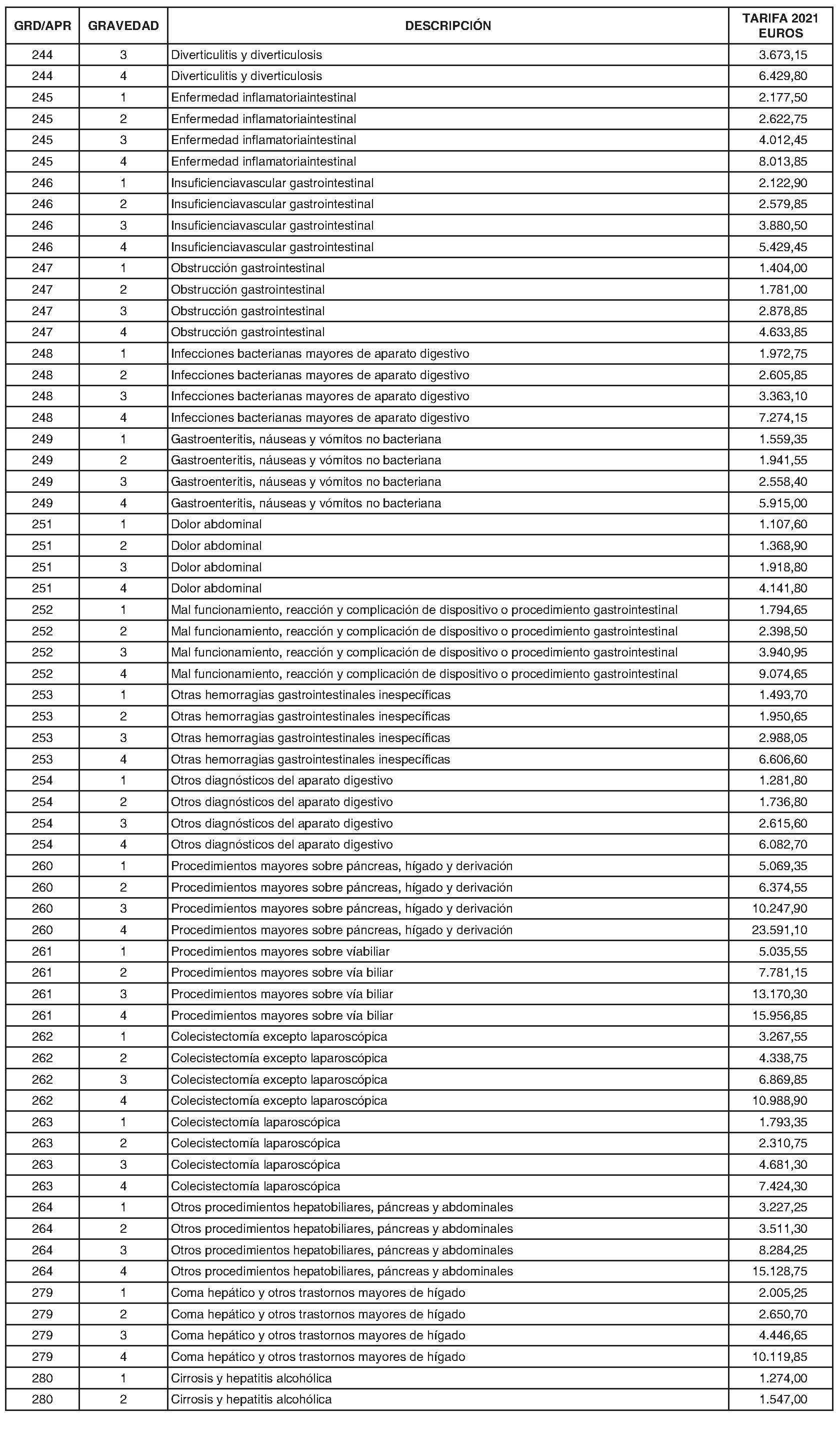
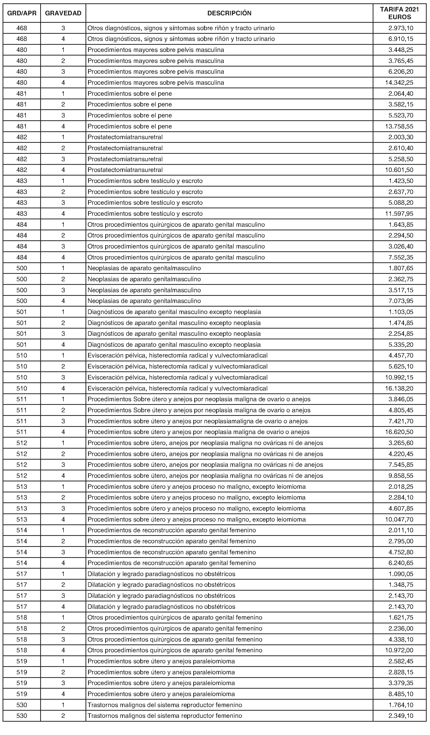
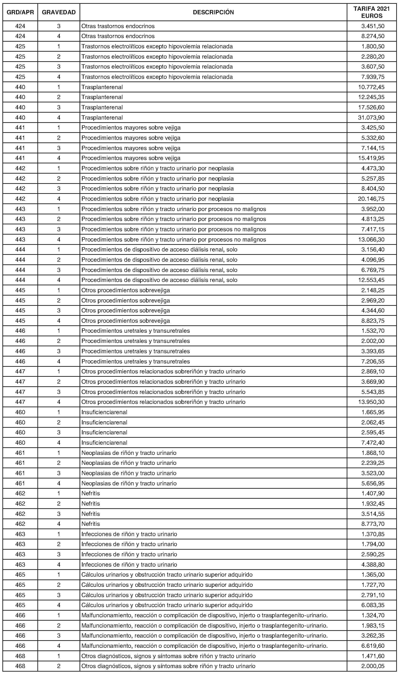
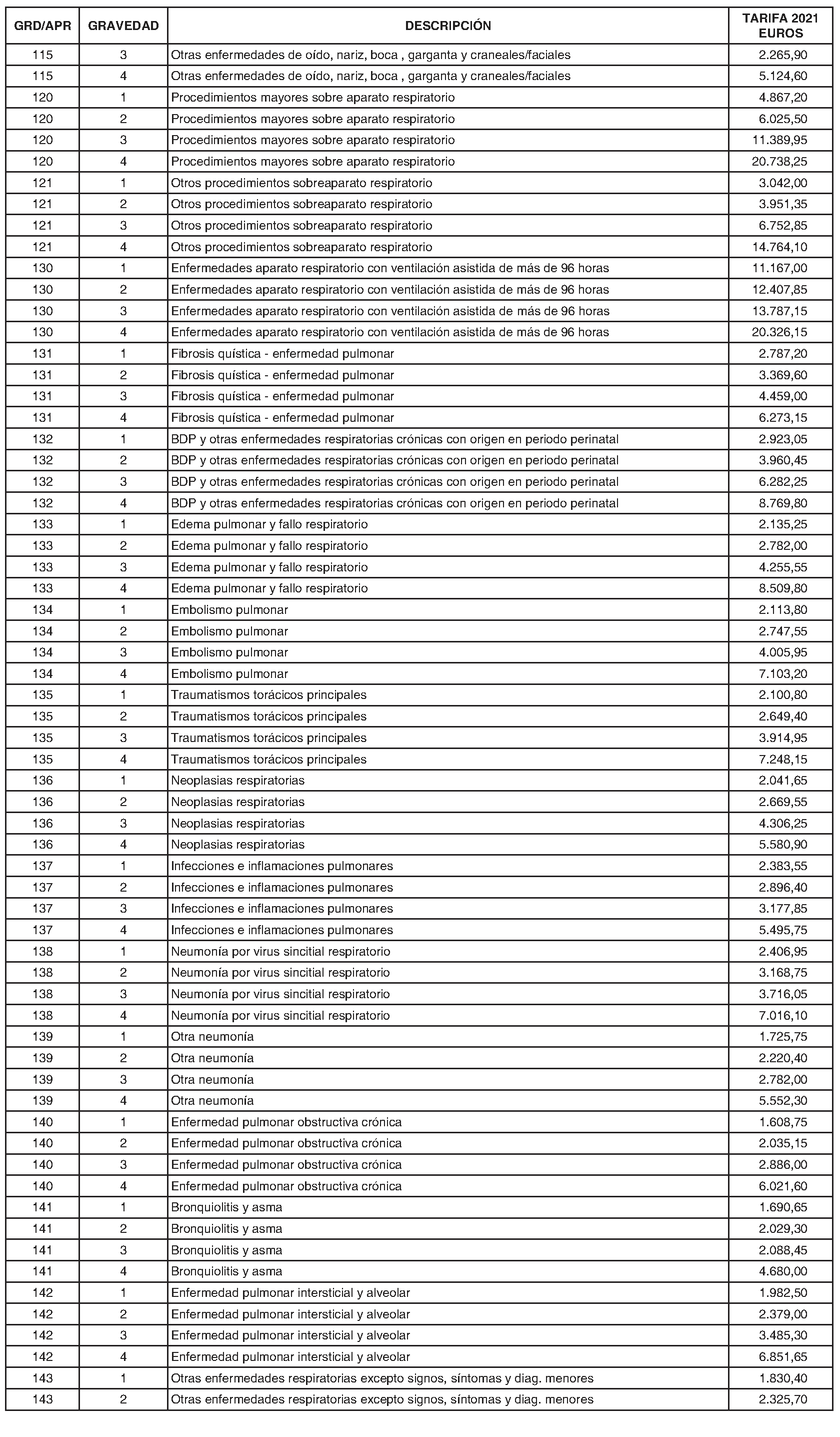
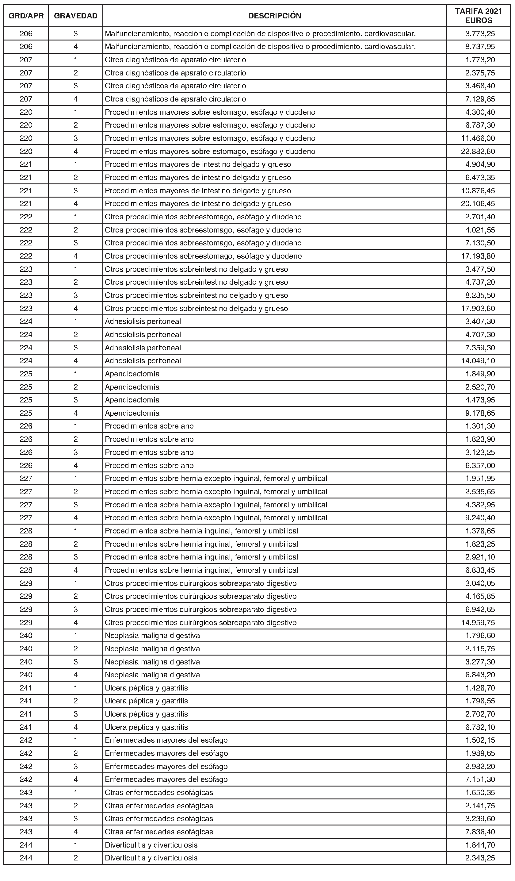
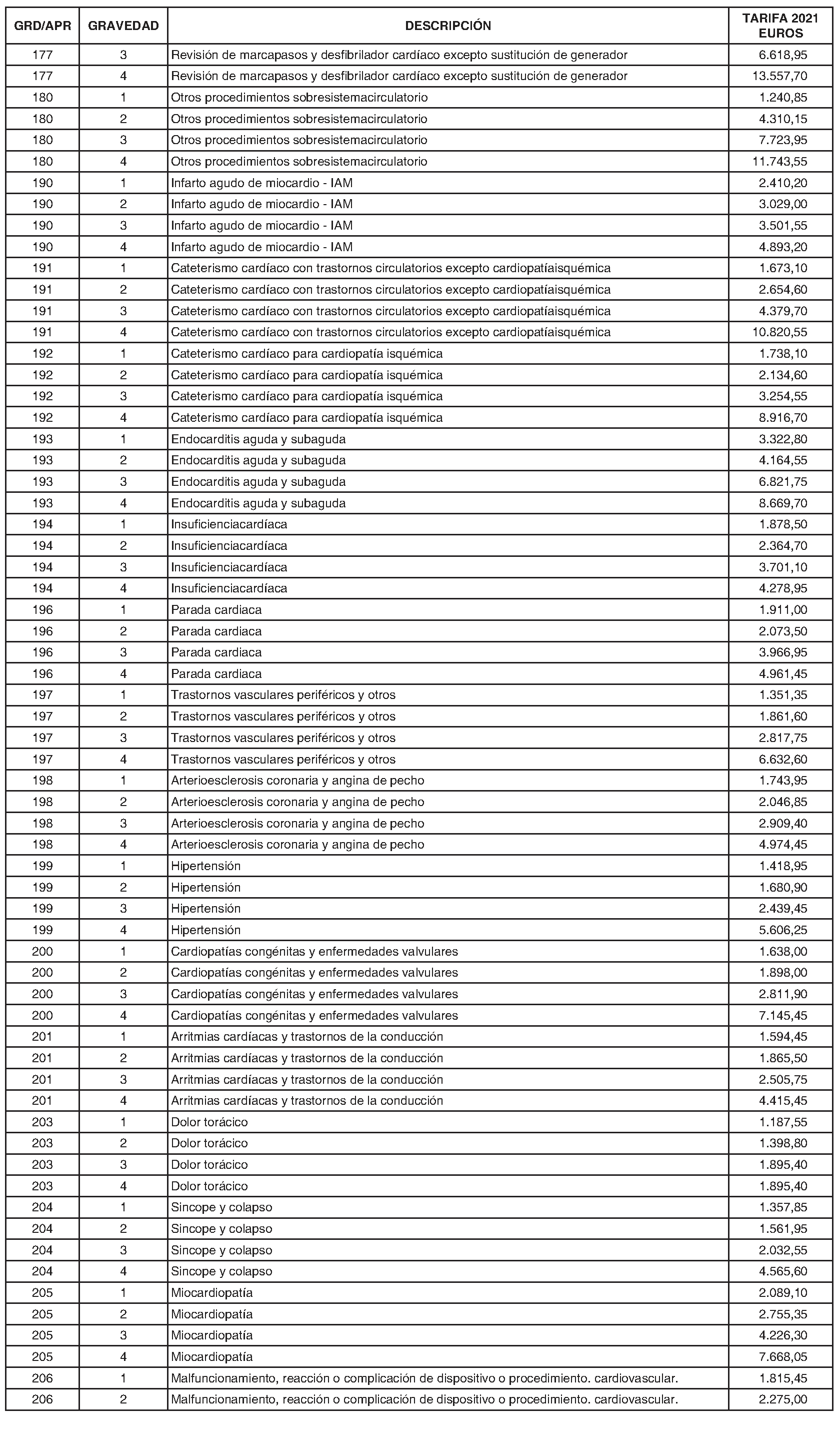
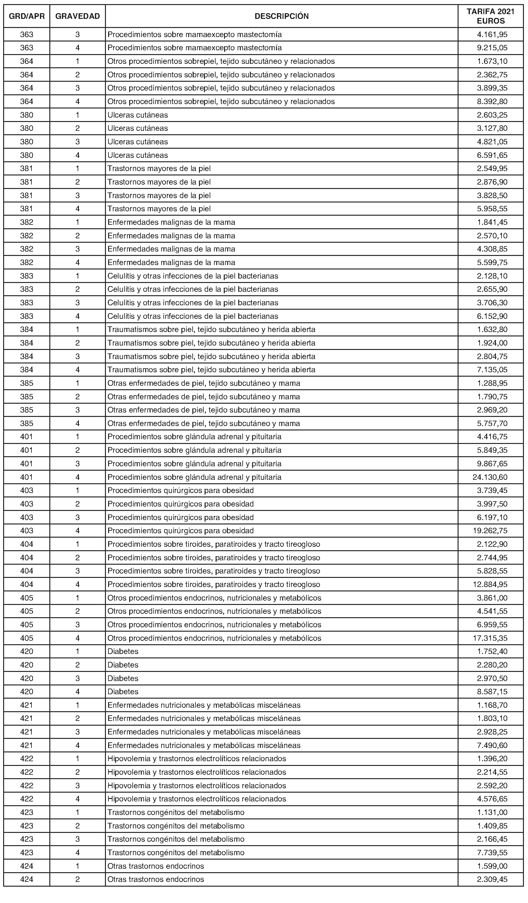
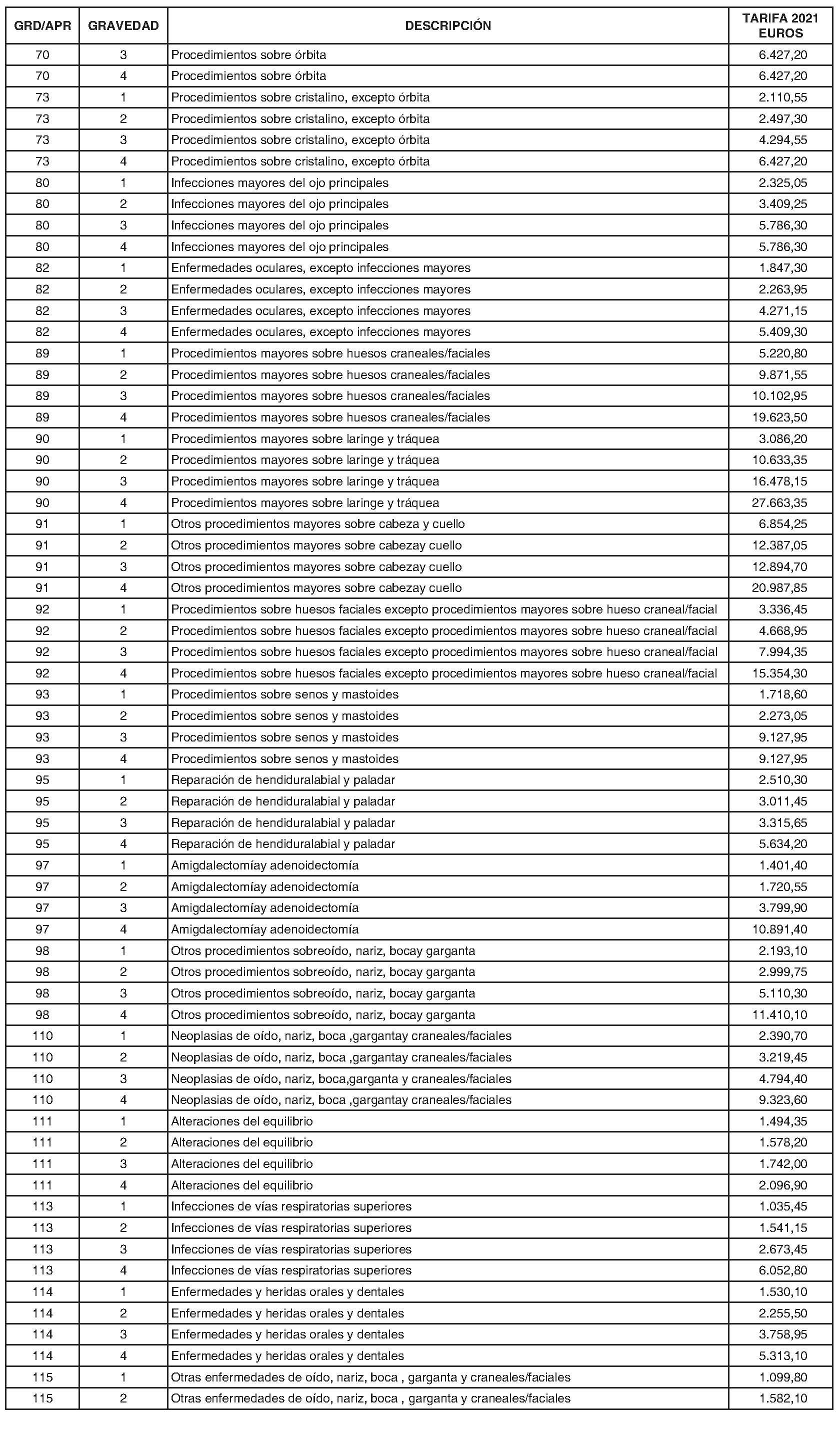
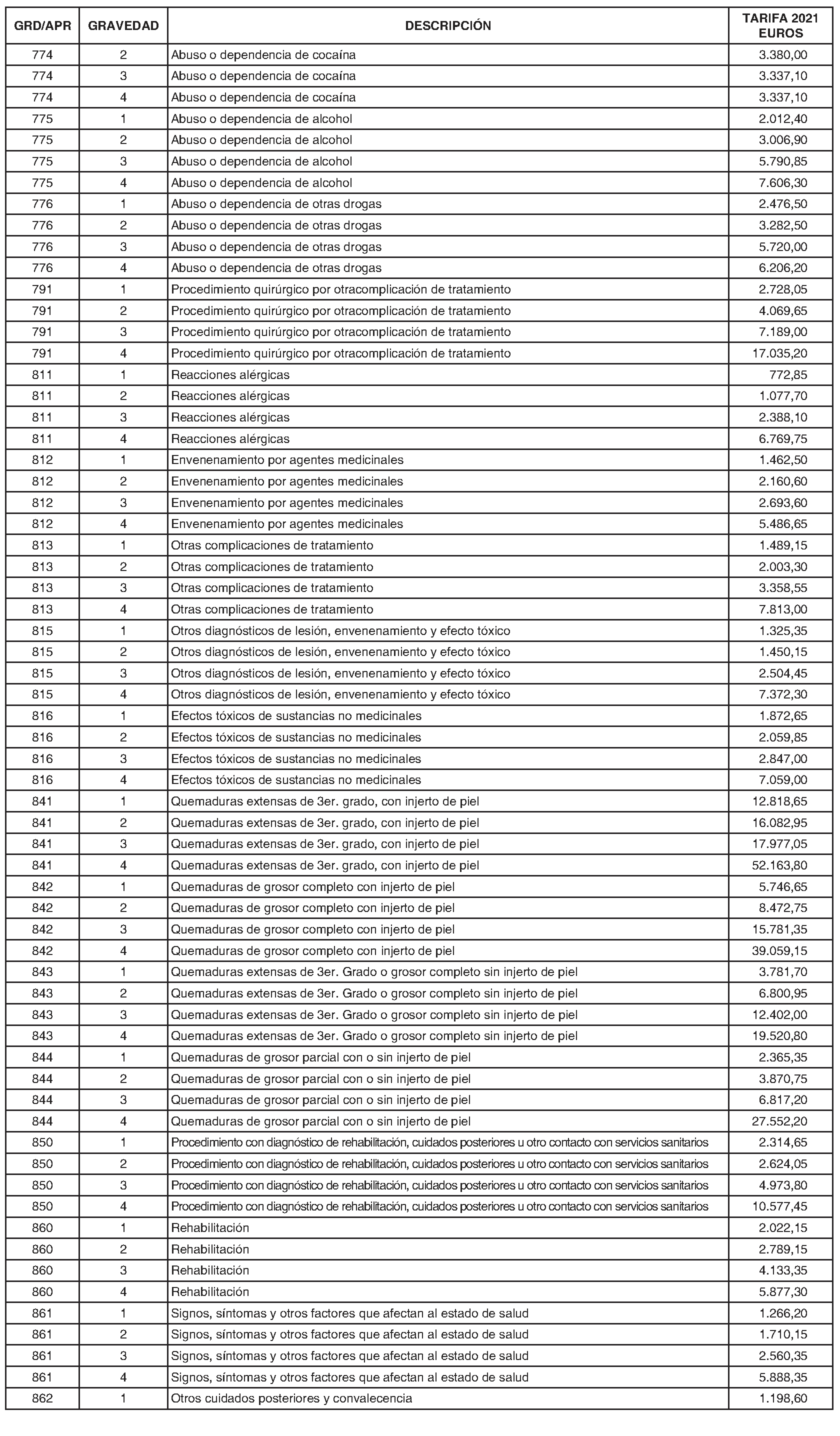
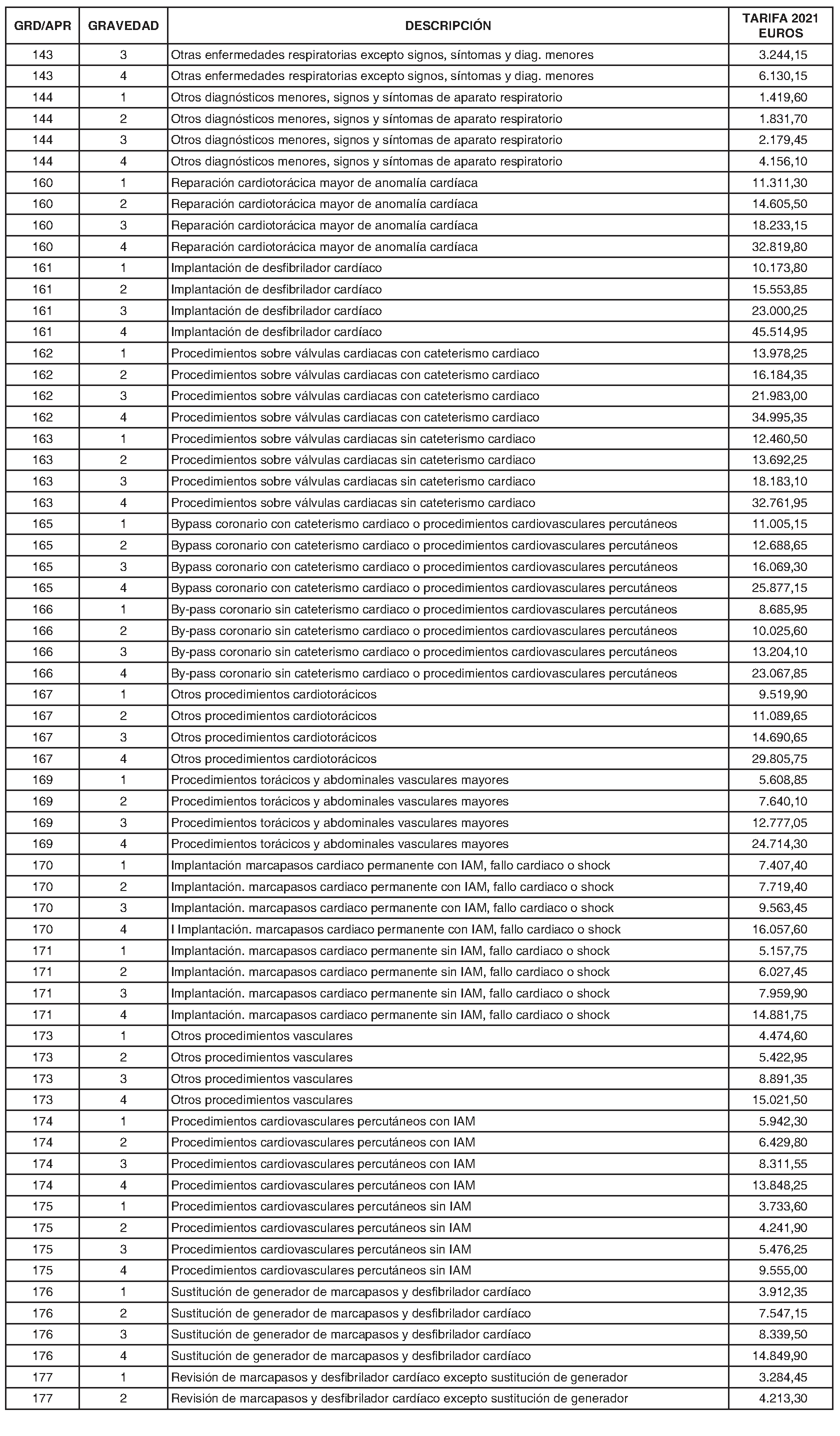
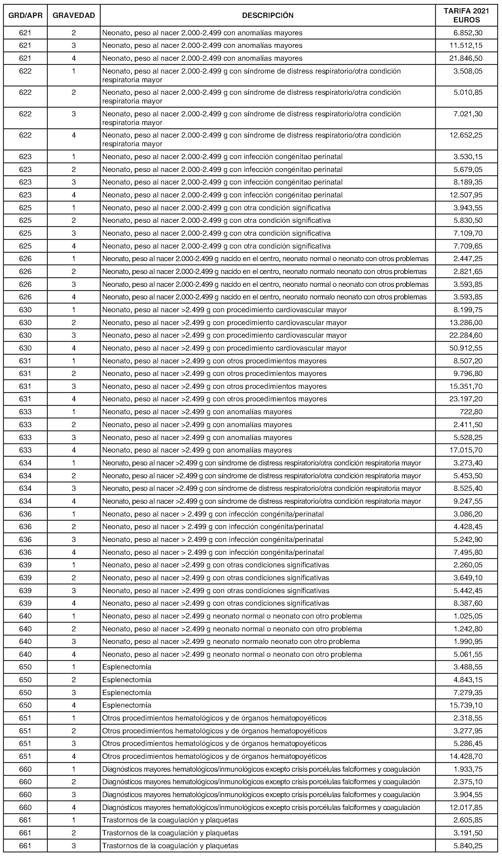
De acuerdo con las tarifas contempladas en el Anexo I, la Comunidad de Madrid compromete en la asistencia sanitaria sustitutoria un presupuesto de 41.000.000,00 euros por ejercicio, prorrateándose los períodos inferiores. El gasto devengado por actividad sanitaria será imputado al programa 312A, subconcepto 252 01 de los Presupuestos Generales de la Comunidad de Madrid. (Las tarifas incluidas en este Anexo corresponden al 65% de precios públicos en asistencia sanitaria de la Comunidad de Madrid establecidos por Orden 727/2017, de 7 de agosto, del Consejero de Sanidad, por la que se fijan los precios públicos por la prestación de los servicios y actividades de naturaleza sanitaria de la red de centros de la Comunidad de Madrid).

Se encuentran incluidas en la financiación del ámbito sustitutorio y en el Anexo I, las tablas con las tarifas aplicables a actividad complementaria, por la utilización de la Cámara Hiperbárica y el Servicio de Oncología Radioterápica del Centro para compensar el gasto de los tratamientos realizados a pacientes beneficiarios del Servicio Madrileño de Salud que hayan sido derivados por éste, en cumplimiento de los programas sanitarios específicos.

En los procedimientos o prestaciones realizadas que no tengan asignado una tarifa o precio público serán objeto de propuesta de tarificación por parte del HCDGU-CSVE y una vez propuesto dentro de la Comisión Permanente y, tras la resolución del SERMAS, que será vinculante, se procederá a incluirlo en los conceptos facturables.

Los procedimientos o prestaciones realizados al mismo paciente en el mismo día serán facturables, en el ámbito que corresponda (sustitutoria o libre elección); siempre y cuando correspondan a distintos episodios asistenciales y se aporte la preceptiva documentación acreditativa.

La financiación no incluye la asistencia cuyo abono, en virtud de normas legales o reglamentarias, les corresponde a otros seguros públicos (MUFACE, MUGEJU, ISFAS, Seguro Escolar…) o privados (vehículos a motor, deportes federados, caza, etc.) o responsabilidad de terceros, por las lesiones o enfermedades causadas a la persona asistida.

El importe de estas prestaciones sanitarias se facturará por el HCDGU-CSVE directa y exclusivamente por los servicios que preste al tercero obligado al pago, con independencia de que la persona asistida tenga derecho a asistencia sanitaria por enfermedad común o accidente no laboral por cuenta del Servicio Madrileño de la Salud.

El quebrantamiento de esta Cláusula, una vez evidenciado, dará lugar a la rectificación económica que corresponda.

1.b. Financiación de la dispensación farmacológica.

La dispensación farmacológica hospitalaria a pacientes externos se facturará al precio de la tarifa determinado por el SERMAS y que se acompaña en el Anexo IV del Convenio.

En el Hospital de Día Oncohematológico, se recoge la posibilidad de aplicar dos tipos de tarifa; una tarifa general por estancia en Hospital de Día Oncohematológico recogida en el Anexo IV; o bien una tarifa específica en base a los programas por ciclo finalizado recogido en el Anexo V, Hospital de Día Oncohematológico. Programas, ésta última opción se podrá utilizar siempre y cuando la Subdirección General de Farmacia y Productos Sanitarios haya implementado el sistema de verificación de dicha factura.

La financiación de la dispensación farmacológica hospitalaria tendrá un presupuesto de 4.000.000 de euros por ejercicio, prorrateándose los períodos inferiores que será imputado al programa 312A, subconcepto 252 01 de los Presupuestos Generales de la Comunidad de Madrid.

1.c. Financiación de Libre Elección de especialista y/o hospital.

En los mismos términos que en el resto de hospitales dependientes del SERMAS, se considerará asistencia correspondiente a pacientes de libre elección, la realizada a aquéllos que hagan uso de los mecanismos de libre elección previstos en la Ley 6/2009, de 16 de noviembre, de libertad de elección en la sanidad de la Comunidad de Madrid y en el Decreto 51/2010, de 29 de julio, por el que se regula el ejercicio de la libertad de elección de médico de familia, pediatra y enfermero en atención primaria, y de hospital y médico en atención especializada en el sistema sanitario público de la Comunidad de Madrid y en la Instrucción del Director General de Hospitales, de 1 de diciembre de 2010, por la que se establecen directrices para facilitar la aplicación del Decreto 51/2010, de 29 de julio.

La financiación de la Libre Elección de médico y hospital se presupuesta en 7.000.000 de euros, y será imputado al programa 312A, subconcepto 252 01 de los Presupuestos Generales de la Comunidad de Madrid. Se incluirán en la consideración de Libre Elección los actos que se produzcan como consecuencia de atenciones urgentes, en el ámbito de la libre elección de médico y/o hospital.

La contraprestación económica por la atención de estos pacientes será acorde con la establecida para el resto de los hospitales de la Red Sanitaria Única de Utilización Pública, empleándose como referencia el precio público correspondiente a la Orden 727/2017, de 7 de agosto, de la Consejería de Sanidad, por la que se fijan los precios públicos por la prestación de los servicios y actividades de naturaleza sanitaria de la red de centros de la Comunidad de Madrid, u Orden vigente en el momento de la asistencia, minorado en un 10%.

2. Facturación y abono:

1.a. Facturación asistencia sanitaria sustitutoria.

El HCDGU-CSVE facturará mensualmente el 95% de la doceava parte de la cantidad comprometida por la Comunidad de Madrid, recogida en el punto 1.a de este Convenio, por los servicios prestados al SERMAS, para su abono mensual por éste, y “a cuenta”, en los primeros quince días del mes siguiente.

1.b. Facturación de la dispensación farmacológica.

El pago de la dispensación farmacológica hospitalaria, recogida en el punto 1.b a pacientes externos se realizará a mes vencido contra factura y a cuenta; en un porcentaje mensual del 100% de la doceava parte de la cantidad comprometida por la Comunidad de Madrid.

1. c. Facturación actividad asistencial de Libre Elección de especialista y/o hospital.

El HCDGU-CSVE facturará mensualmente el importe de la actividad de libre elección el importe recogido en el punto 1.c de este Convenio, para su abono mensual por éste, con carácter de “a cuenta”, en un porcentaje mensual del 100% de la doceava parte en los primeros quince días del mes siguiente.

Consideraciones generales:

Con carácter mensual, el HCDGU-CSVE presentará ante el Servicio Madrileño de Salud, la facturación correspondiente al período del que se trate, con el alcance y contenidos que a continuación se relacionan, siendo ésta la base sobre la que se sustentará el abono de los servicios realizados.

En el valor asignado a las altas de hospitalización y cirugía ambulatoria, así como en el resto de valores asignados a las diferentes líneas de facturación, se encuentran comprendidos todos los costes hospitalarios, de producción propia o concertada, sanitarios y no sanitarios, de la atención en el centro de procesos médico-quirúrgicos, con el alcance que establece el Real Decreto 1030/2006, de 15 de septiembre, por el que se establece la Cartera de Servicios Comunes del Sistema Nacional de Salud y el procedimiento para su actualización.

La facturación por procedimiento de valoración singular, será incompatible con la facturación del alta que, eventualmente, produzca la atención del proceso.

El centro sanitario presentará los siguientes documentos de cada ámbito:

— La factura mensual de abono “a cuenta”.

— La relación valorada de la asistencia sanitaria efectivamente realizada mensualmente.

— La facturación anual del total de la actividad prestada en el período.

3. Liquidación.

La liquidación compara la cantidad abonada “a cuenta” con la relación valorada de la asistencia reflejada en la facturación anual y se desarrolla en dos procesos sucesivos: auditoria y liquidación propiamente dicha.

3.1. Proceso de auditoría:

Se realizarán a lo largo del año las siguientes auditorias: una auditoría de datos, comparando los registros declarados en los sistemas oficiales de información con los registros facturados, y una auditoría de la actividad asistencial, verificando la concordancia entre la actividad declarada y la efectivamente realizada.

Auditoría de datos: se comprueba que los registros facturados han sido declarados en los sistemas de información oficiales, que los procesos facturados se corresponden con los recogidos en el Convenio y en el Manual de Facturación Intercentros en vigor y que los pacientes se encuentran en los cortes de población mensuales de Aseguramiento, verificando con ello el derecho a la facturación de la asistencia. Los registros no encontrados pueden ser rescatados por la Subdirección General de Aseguramiento a través de cruces con la Base de datos del Sistema Nacional de Salud y con la base de asegurados del INSS.

Debido a las características especiales en materia de seguridad en sistemas de información, del Hospital Central de la Defensa Gómez Ulla, el Servicio Madrileño de Salud facilitará la declaración de la actividad en los Sistemas de Información, antes del cierre oficial de los mismos.

Para ello el Servicio Madrileño de Salud, en colaboración con el Hospital Central de la Defensa Gómez Ulla, determinará las diferencias entre la actividad registrada en los sistemas de información del Hospital y los declarados en el sistema de información del SERMAS de manera provisional, y el Hospital Central de la Defensa recabará la información suficiente para que el SERMAS pueda incorporarlos en los sistemas antes del cierre.

Auditoría de actividad asistencial: El equipo evaluador designado al efecto por el Servicio Madrileño de Salud, realizará una auditoria de actividad de carácter asistencial, en la cual se valorará la documentación relativa al proceso asistencial que conste expresamente en la historia clínica y en los registros oficiales del Sistema de Información (SIAE, SICYT, CMBD …), cuyas conclusiones y propuestas serán de aplicación para la liquidación y, que deberá contemplar al menos los siguientes apartados para las diferentes modalidades de actividad asistencial:

— Actividad sustitutoria.

— Actividad derivada de la libre elección de médico y hospital.

— Actividad complementaria.

Se auditará una muestra significativa de historias clínicas, correspondiente a las principales líneas de actividad, las de mayor peso específico o las que hayan mostrado una mayor desviación en función de los resultados de las auditorías de años anteriores La muestra seleccionada para su realización se obtendrá mediante muestreo aleatorio con un nivel de confianza del 95% (a = 0,05), una precisión (d) del 5% y una proporción estimada en función también de los resultados de las auditorías de años anteriores. Para ello utilizaremos la aplicación Excel, fórmula ALEATORIO.ENTRE.

El informe de auditoría fija el porcentaje de conformidad de la muestra en aquellas prestaciones en las que ha habido auditoria de actividad y ello afecta proporcionalmente a la cifra definitiva de actividad que será computada en la facturación final, en cada una de las modalidades.

Para el desarrollo de los trabajos de auditoría de actividad asistencial y dispensación de medicamentos de uso hospitalario a pacientes externos, se seguirán los criterios reflejados en el Manual de apoyo a la Auditoría de Actividad Asistencial, emitido por la Dirección General del Proceso Integrado de Salud, vigente en el momento de la realización de la actividad asistencial auditada, que será facilitado por el SERMAS al HCDGU-CSVE para el ejercicio corriente.

El proceso de auditoria se llevará a cabo, previamente, al de liquidación.

De su análisis de la auditoria de datos y de la auditoria clínica asistencial se realizarán informes, cuyas conclusiones y propuestas serán de aplicación en la liquidación.

4. Proceso de Liquidación:

Una vez practicada la auditoría se llevará cabo el proceso de liquidación.

La liquidación anual se practicará en el plazo máximo de los seis meses siguientes desde la presentación de la facturación anual, en cada anualidad del Convenio, comparando las cantidades abonadas con la valoración de la asistencia sanitaria sustitutoria, la actividad que tiene origen en el ejercicio de la libre elección de médico u hospital y en su caso, la actividad complementaria efectivamente realizada.

Si la valoración de la asistencia sanitaria prestada por el HCDGU-CSVE en cada ejercicio, resulta inferior a la suma de las cantidades abonadas a cuenta por el Servicio Madrileño de Salud, la diferencia será compensada a favor del Servicio Madrileño de Salud en el siguiente abono a cuenta que éste realice.

En el caso de exceder el importe de la facturación real (1.a, 1.b y 1.c) anual auditada del importe máximo anual autorizado, las cantidades resultantes se harán efectivas durante el siguiente ejercicio económico, previo acuerdo de la Comisión de Seguimiento, convocada al efecto.

Si el Convenio se hubiere extinguido o no hubiera que realizar más pagos a cuenta o los pagos pendientes fueran insuficientes para compensar el referido exceso, las cantidades correspondientes se reintegrarán al Servicio Madrileño de Salud en el plazo de los seis meses siguientes a la fecha de la liquidación.

Octava

Alcance y características de la colaboración en materia de formación

Las partes que suscriben el presente convenio estiman conveniente establecer las vías de cooperación y colaboración que sean precisas para realizar la adecuada puesta en común de sus respectivos conocimientos, facilitando la realización de acciones que permitan incrementar la preparación de sus respectivos profesionales.

En el marco de la Ley 44/2003, de 21 de noviembre, de Ordenación de las Profesiones Sanitarias, los profesionales sanitarios tienen tanto el derecho como la obligación a la formación continuada, esto es, al proceso de enseñanza activo y permanente que se inicia al finalizar los estudios de pregrado o de especialización, con el fin de que actualicen y mejoren sus conocimientos, habilidades y actitudes ante la evolución científica y tecnológica, así como ante las demandas y necesidades sociales y del propio sistema sanitario.

Esta colaboración se concretará en:

1. Formación continuada específica.

El Ministerio de Defensa se compromete a incluir, contando con la autorización del órgano correspondiente, entre los asistentes a las actividades de formación en materia de protección sanitaria en ambiente NRBQ y de gestión de catástrofes que se organicen por dicho departamento al personal sanitario que la Consejería de Sanidad designe en función de la coordinación que se establezca entre ambas instituciones.

La Consejería de Sanidad pondrá a disposición del personal sanitario del HCDGU-CSVE todos aquellos recursos formativos, en especial referentes a la formación continuada, en igualdad de condiciones a los ofrecidos al personal de los distintos Hospitales del SERMAS, con especial énfasis en aquellos destinados a las mejoras en el cumplimiento de los objetivos y planes de calidad.

Igualmente, la Consejería de Sanidad, a través del SUMMA 112, ofertará cursos acreditados de técnico de emergencias de niveles básico y avanzado para el personal de tropa y marinería. Esta formación incluirá también la que se precisa para la actualización de la inscripción del personal que lo solicite en el Registro de Técnicos de Emergencias de la Comunidad de Madrid, mientras el citado personal forme parte de las Fuerzas Armadas y se encuentre en situación de servicio activo.

Para todo ello, cada Administración se compromete a realizar una oferta de actividades formativas dirigida al personal de la otra Administración, especificándose, al menos, los objetivos del curso, el número de plazas ofertadas, plazos de inscripción y requisitos de los candidatos. Dicha oferta se articulará a través del procedimiento administrativo que se concrete en la Comisión de Seguimiento contemplada en este Convenio.

2. Realización de períodos de prácticas:

La Consejería de Sanidad se compromete a ofertar al Ministerio de Defensa, dentro de la capacidad y disponibilidad formativa existente, la posibilidad de que el personal militar sanitario de emergencias realice prácticas voluntarias en los diferentes

servicios del SUMMA 112 con objeto de que dicho personal se ejercite en la prestación de asistencia de urgencia y emergencia, así como facilitar la realización de estancias formativas en diferentes centros sanitarios de la red del SERMAS del personal militar sanitario para mantener las capacidades asistenciales y operativas del mismo. Dicha oferta se canalizará a través de la Comisión de Seguimiento del presente Convenio, estableciéndose el correspondiente procedimiento para dar vigencia a este compromiso.

En cualquier caso, esta actividad formativa no conllevará alteración de funciones, horarios ni cambios en las condiciones laborales de quién la realice.

3. Acreditación de cursos y actividades de interés sanitario:

La acreditación de estos cursos se ajustará a la normativa vigente, siguiendo, en consecuencia, la tramitación establecida en la misma. Por lo tanto, será la Dirección General de Investigación, Docencia y Documentación, dentro del ámbito de la Consejería de Sanidad, la encargada de cumplir con lo dispuesto en este punto, tal y como se establece en el artículo 5 de la Orden 559/1997, de 17 de marzo, de la Consejería de Sanidad y Servicios Sociales, por la que se establecen los criterios que permitan garantizar los niveles mínimos de formación del personal médico y de enfermería que presten sus servicios en actividades relacionadas con el transporte sanitario (con las modificaciones introducidas por la Orden 1102/2003, de 12 de noviembre, de la Consejería de Sanidad, por la que se modifican las Órdenes 560/1997 y 559/1997, ambas de 17 de marzo).

Novena

Colaboración para la optimización de recursos sanitarios

1. Se acuerda la utilización conjunta y/o compartida de aquellos recursos sanitarios que se consideren necesarios para mejorar la calidad de los servicios prestados al ciudadano en cada momento, previo acuerdo de la Comisión de Seguimiento, a la que se plantearán las propuestas de colaboración en este sentido, así como las necesidades financieras para las mismas, si las hubiera.

Es voluntad de ambas partes:

— Colaborar en el desarrollo de centros, servicios y unidades de referencia del Sistema Nacional de Salud en aquellos ámbitos de interés mutuo;

— Establecer alianzas asistenciales interhospitalarias, por proximidad y complementariedad, que mejoren la asistencia de la población de la Comunidad de Madrid.

2. Colaboración en la intermediación de la gestión de las células madre de cordón umbilical.

La ejecución de este acuerdo permitirá que el HCDGU-CSVE, como Centro adscrito al SERMAS, lleve a cabo los procedimientos de valoración de las donantes, así como los de extracción y preparación para el transporte de las unidades de sangre del cordón umbilical, limitándose su participación en el proceso a dichas tareas, de forma que las empresas privadas que tengan suscritos convenios con el resto de hospitales del SERMAS asuman, previa formalización del oportuno convenio, el resto de las actuaciones del proceso, en las mismas condiciones contempladas en los convenios firmados por las mismas y los hospitales del SERMAS. El HCDGU-CSVE cuenta con las preceptivas autorizaciones para la extracción de sangre del cordón umbilical.

3. Adhesión a los Acuerdos Marco de suministro de medicamentos de la Comunidad de Madrid.

— En los mismos términos que en el resto de hospitales dependientes del SERMAS, el HCDGU-CSVE quedará adherido, con las limitaciones impuestas por el Ministerio de Defensa, a los Acuerdos Marco de suministro de productos sanitarios y farmacéuticos que la Comunidad de Madrid pueda acordar. La Jefatura de Administración Económica, como Órgano de Contratación y de Gasto de la Inspección General de Sanidad de Defensa, formalizará los contratos basados en el Acuerdo Marco concreto conforme a los términos establecidos en los Pliegos de Cláusulas Administrativas Particulares y de Prescripciones Técnicas de dicho Acuerdo Marco.

— Asimismo, en los términos que en el resto de hospitales del SERMAS, el HCDGU-CSVE quedará adherido, con las limitaciones impuestas por el Ministerio de Defensa, a los procedimientos centralizados de gestión de compras del SERMAS.

4. Colaboración para la optimización de recursos sanitarios en materia de hemoderivados y componentes sanguíneos.

4.1. El SERMAS cuenta con un contrato de fraccionamiento de plasma que se basa en la entrega del plasma excedente del Centro de Transfusión de la Comunidad de Madrid (en adelante CT-Madrid) a la industria farmacéutica, para su fraccionamiento y obtención de hemoderivados. Los productos obtenidos son propiedad del SERMAS que abona los gastos de producción de los mismos.

4.2. El objetivo, en este caso, es la gestión conjunta del excedente de plasma sanguíneo por parte del SERMAS y del Centro de Transfusión de Fuerzas Armadas (en adelante, CTFAS), mediante la cual el excedente de plasma de este último sea gestionado por el SERMAS, dentro de su contrato, de forma que los hemoderivados que revierten a la Comunidad de Madrid también lo hagan al HCDGU-CSVE, como hospital concertado con la red sanitaria pública madrileña. Es decir, el CTFAS se adhiere al contrato de fraccionamiento u otro sistema futuro de utilización de plasma humano para la obtención de hemoderivados plasmáticos.

4.3. Se acuerda que en el proceso de fabricación de hemoderivados del plasma procedente del CT-Madrid se incluya, tras el correspondiente control de materia prima de la industria, el proveniente del CTFAS, de tal manera que pasará a conformar una única fuente de hemoderivados.

4.4. El HCDGU-CSVE recibirá la cantidad de hemoderivados de forma proporcional a los litros de plasma que hayan sido entregados por el CTFAS y en función del rendimiento medio obtenido en el fraccionamiento. Se abonarán estos productos de acuerdo a lo establecido en el contrato de fraccionamiento firmado por el SERMAS, sin ningún incremento adicional por la gestión del mismo.

4.5. Considerando la normativa en materia de hemodonación y requisitos técnicos contenidos, especialmente, en el Real Decreto 1088/2005, de 16 de septiembre, por el que se establecen los requisitos técnicos y condiciones mínimas de la hemodonación y de los centros y servicios de transfusión, la Comunidad de Madrid y la Inspección General de Sanidad, a través del CTFAS, llevarán a cabo conjuntamente las siguientes actuaciones:

— Por el CT-Madrid:

• Gestión de plasma obtenido.

• Entrega del mismo a la industria farmacéutica fraccionadora.

— Por el SERMAS:

• Ampliación del contrato de fraccionamiento incorporando este plasma.

• Gestión de los hemoderivados obtenidos.

• Suministro de los mismos a su red hospitalaria y al HCDGU-CSVE según procedimiento establecido al efecto.

— Por el CTFAS:

• Gestión del plasma obtenido.

• Entrega del plasma a la industria farmacéutica fraccionadora.

• Selección de los productos a suministrar entre los obtenidos del fraccionamiento, determinados por el Servicio de Farmacia del HCDGU- CSVE.

• Renuncia al resto de los productos hemoderivados obtenidos del fraccionamiento e incluidos en el contrato del SERMAS, que el CTFAS no necesita. (Con las limitaciones definidas por el Servicio de Farmacia del HCDGU-CSVE).

En aquellos casos en los que por razones de eficiencia y necesidad se produzca la cesión entre el CTFAS y el CT del SERMAS, de sangre almacenada existente, evitando de esta forma situaciones de eliminación de sobrantes y caducidades y/o desabastecimiento; no generarán contraprestación económica entre las partes.

5. Zona de toma de aeronaves del HCDGU-CSVE: el Ministerio de Defensa se comprometerá a facilitar la utilización por los servicios de urgencia de la Consejería de Sanidad de la zona de toma de aeronaves del HCDGU-CSVE para la recogida y traslado de enfermos con destino u origen en el Servicio Madrileño de Salud, con las limitaciones impuestas por el Ministerio de Defensa. Para ello, el Ministerio de Defensa elaborará el correspondiente protocolo para su aprobación en la Comisión de Seguimiento del presente Convenio, en el que se recogerán los supuestos y condiciones de dicho uso por el SUMMA 112.

6. Colaborar en el transporte de órganos y traslado de pacientes para trasplante desde Comunidad de Madrid a otras Comunidades Autónomas y viceversa.

7. Cooperación en catástrofes y situaciones de crisis: El Ministerio de Defensa y la Consejería de Sanidad de la Comunidad de Madrid se comprometen a colaborar para la articulación de actuaciones conjuntas con el objetivo de diseñar un programa operativo que permita afrontar con garantías de éxito situaciones de catástrofe y crisis que se pudieran producir en el ámbito de la Comunidad de Madrid. Para ello, las partes firmantes se comprometen, a través de la Comisión de Seguimiento del presente Convenio, a aprobar la planificación conjunta de actuaciones de las Administraciones firmantes, que necesariamente contemple los siguientes aspectos:

— Diseño de un plan operativo conjunto para su ejecución en situaciones de catástrofes y crisis que contemple la utilización de medios humanos y materiales adscritos al Ministerio de Defensa como es la Unidad de Aislamiento de Alto Nivel (UAAN) y a la Consejería de Sanidad.

— Establecimiento de un canal de interlocución que permita la colaboración con otras Administraciones y Centros Directivos con competencias en la materia.

Décima

Comisión de Seguimiento

A efectos de seguimiento del presente Convenio se constituye una Comisión de Seguimiento que estará integrada por distintos miembros de cada una de las partes en él interesadas:

— Por parte de la Consejería de Sanidad de la Comunidad de Madrid:

• Viceconsejero de Asistencia Sanitaria o persona en quien delegue.

• Viceconsejero de Humanización Sanitaria o persona en quien delegue.

• Director General del Proceso Integrado de Salud o persona en quien delegue.

• Director General de Gestión Económico Financiera y Farmacia o persona en quien delegue.

— Por parte del Ministerio de Defensa:

• El Inspector General de Sanidad del Ministerio de Defensa o persona en quien delegue.

• El General Director del HCDGU-CSVE o persona en quien delegue.

• El Jefe JAE de IGESAN o persona en quien delegue.

• EL Subdirector del HCDGU-CSVE.

• El Jefe de Admisión y Continuidad Asistencial del HCDGU-CSVE (sin voto).

• El Asesor de Convenios de la Inspección General de Sanidad (sin voto).

Será Presidente de la Comisión de Seguimiento, de forma alternante por períodos anuales, el Viceconsejero de Asistencia Sanitaria y el Inspector General de Sanidad de la Defensa, o las personas en quien ambos deleguen. La parte militar ostentará la presidencia el primer año.

Actuará como Secretario de la Comisión de Seguimiento un funcionario o personal estatutario perteneciente a la Dirección General correspondiente del Servicio Madrileño de Salud, que no ostentará derecho de voz ni de voto.

La Comisión se reunirá, al menos, dos veces al año de forma ordinaria, durante el segundo y cuarto trimestres del mismo, y cuando resulte necesario a instancia de cualquiera de las partes, con objeto de velar por la correcta aplicación de este Convenio y resolver las cuestiones que se planteen en relación con él. Igualmente se reunirá cuando así se solicite por la Consejería de Sanidad de la Comunidad Autónoma o por el Ministerio de Defensa. La citación de la convocatoria se realizará, al menos, con 5 días naturales de antelación. Los acuerdos se adoptarán por mayoría de votos, dirimiendo los empates el voto del Presidente.

En función de los asuntos a tratar, se podrán incorporar a la Comisión, sin derecho a voto, los asesores técnicos que se consideren oportunos, teniendo en cuenta la naturaleza de las competencias atribuidas a dicha Comisión.

Son funciones de la Comisión de Seguimiento las siguientes:

1. Adecuación del Convenio a las nuevas circunstancias asistenciales de la Sanidad.

2. Decidir sobre las cuestiones que surjan en relación con la interpretación y modificación del Convenio.

3. Proponer las actividades de cooperación y colaboración.

4. Resolver cuantas cuestiones le eleve la Comisión Permanente.

5. Proponer las tarifas de aquellos procedimientos que no estén valorados o las de aquellos que resulte necesario actualizar o modificar.

6. Precisar las normas de funcionamiento que resulten necesarias para la ejecución del Convenio y concretar los procedimientos administrativos para su desarrollo.

7. Elaborar y proponer las eventuales Cláusulas Adicionales.

8. Revisar y aprobar el informe de auditoría anual base de la liquidación.

9. Revisar la actividad efectivamente realizada con objeto de ajustar el presupuesto máximo para el año siguiente proponiendo las modificaciones que pudieran ser necesarias aplicar al convenio en vigor.

10. Revisión de las tarifas vigentes con el fin de irlas acomodando a los costes efectivos de actividad, con el techo máximo del 100% de la tarifa de precios públicos de la Comunidad de Madrid.

Para el mejor cumplimiento de las funciones encomendadas a la Comisión de Seguimiento, se crea una Subcomisión que se constituye en Comisión Permanente de la Comisión de Seguimiento. Estará formada por el mismo número de miembros de ambas instituciones:

Por parte de la Consejería de Sanidad de la Comunidad de Madrid, tres funcionarios con categoría, al menos, de Jefe de Servicio, de las siguientes Direcciones Generales:

— Uno del Servicio Madrileño de Salud, que actuará como secretario.

— Uno de la Dirección General del Proceso Integrado de Salud.

— Uno de la Dirección General de Gestión Económica Financiera.

Por parte del Ministerio de Defensa:

— El General Director del HCDGU-CSVE o persona en quien delegue.

— El Jefe de Gestión del HCDGU-CSVE.

— El Subdirector del HCDGU-CSVE.

— El Jefe de Admisión y Continuidad Asistencial del HCDGU-CSVE (sin voto).

— El Asesor de convenios de la Inspección General de Sanidad (sin voto).

La presidencia de la Comisión Permanente corresponderá a la parte que ostente la presidencia de la Comisión de Seguimiento.

La Comisión Permanente se reunirá con la periodicidad que las circunstancias aconsejen y, al menos, cuatro veces al año, en la primera quincena de los meses de febrero, mayo, septiembre y diciembre.

En función de los asuntos a tratar, se podrán incorporar a la Comisión, sin derecho a voto, los asesores técnicos que se consideren oportunos, teniendo en cuenta la naturaleza de las competencias atribuidas a dicha Comisión.

Los acuerdos se tomarán por mayoría de votos. De no alcanzarse dicho acuerdo, dirimirá el voto del Presidente. De forma supletoria, se estará, en las cuestiones relativas a deliberaciones, acuerdos y funcionamiento de la Comisión Permanente, a lo dispuesto para los órganos colegiados en la Ley de Régimen Jurídico de las Administraciones Públicas y Procedimiento Administrativo Común. De los acuerdos adoptados se dará traslado a la Comisión de Seguimiento.

El cometido fundamental de la Comisión Permanente será la elaboración de propuestas en relación con las materias objeto de este Convenio y en particular para la:

1. Adecuación de la cartera de servicios a las necesidades.

2. Determinación del alcance de las prestaciones.

3. Determinar el alcance de las actividades de Cooperación y Colaboración.

4. Determinación consensuada de los precios que no estén previstos en la normativa vigente.

5. Revisión del informe de auditoría anual y su elevación a la Comisión de Seguimiento.

6. Decisión operativa sobre casos singulares.

7. Preparación de las reuniones del Pleno de la Comisión de Seguimiento.

8. Cuantas otras funciones le encomiende la Comisión de Seguimiento.

Undécima

Seguro de responsabilidad civil

Ambas partes deberán tener suscrito el correspondiente contrato de seguro para dar cobertura a las consecuencias económicas derivadas de la responsabilidad que pudiera corresponder al personal asegurado, por daños corporales o materiales y perjuicios, causados por acción u omisión a terceros en el ejercicio de sus funciones, así como a la responsabilidad solidaría, subsidiaria o directa que pudiera corresponder al Ministerio de Defensa o a la Consejería de Sanidad, y a la responsabilidad patrimonial exigible a la Administración conforme a lo establecido en el artículo 32 de la Ley 40/2015, de 1 de octubre, de Régimen Jurídico del Sector Público, en lo que respecta a los daños corporales, materiales y perjuicios consecutivos.

A este respecto, el HCDGU-CSVE deberá acreditar la constitución de un seguro de responsabilidad civil con tercero que cubra las acciones u omisiones de naturaleza sanitaria o extra sanitaria del Centro y las de los profesionales que prestan servicios en el mismo con una cobertura no inferior a 300.506,05 euros por víctima y 601.012,11 euros por siniestro.

Duodécima

Confidencialidad y secreto

Tendrá la consideración de información confidencial toda la información susceptible de ser revelada por escrito, de palabra o por cualquier otro medio o soporte, tangible o intangible, actualmente conocido o que posibilite el estado de la técnica en el futuro, intercambiada como consecuencia de la firma del “Convenio entre el Ministerio de Defensa y la Comunidad de Madrid en materia de asistencia sanitaria y para la realización de determinadas actuaciones en el terreno de la Formación y de la Optimización de los Recursos Sanitarios”.

Cada parte se compromete a mantener el compromiso de confidencialidad respecto a la información y material facilitado y recibido entre la Comunidad de Madrid y el Ministerio de Defensa de forma indefinida tras la finalización del Convenio.

1. Confidencialidad.

Ambas partes se obligan con respecto a la información y material recibido como consecuencia del Convenio a:

a) Utilizar dicha información de forma reservada.

b) No divulgar ni comunicar la información facilitada ni recibida como resultado de la firma del presente Convenio.

c) Impedir la copia o revelación de esa información a terceros, salvo que gocen de aprobación escrita las partes, y únicamente en términos de tal aprobación.

d) Restringir el acceso a la información a sus empleados y subcontratados, en la medida en que razonablemente puedan necesitarla para el cumplimiento de las tareas acordadas.

e) No utilizar la información o fragmentos de ésta para fines distintos de la ejecución del Convenio.

Las partes serán responsables ante el incumplimiento de esta obligación, ya sea por sus empleados o por subcontratados.

Asimismo, ambas partes, se comprometen a cumplir con todos los términos fijados en la presente manifestación, y, muy especialmente aquellos relativos a las cláusulas sobre propiedad intelectual e industrial, confidencialidad y obligación de secreto, manteniendo esta confidencialidad y evitando revelar la información a toda persona que no sea empleado o subcontratado, salvo que:

a) La parte receptora tenga evidencia de que conoce previamente la información recibida.

b) La información recibida sea de dominio público.

c) La información recibida proceda de un tercero que no exige secreto.

2. Protección de Datos.

El tratamiento y/o acceso a datos de carácter personal por las personas que presten sus servicios en la Comunidad de Madrid y en el Ministerio de Defensa deberá realizarse de la forma y bajo las condiciones siguientes: la Ley Orgánica 3/2018, de 5 de diciembre, de Protección de Datos Personales y garantía de derechos digitales y el Reglamento General de Protección de Datos (Reglamento UE2016/679 del Parlamento Europeo y del Consejo de 27 de abril de 2016 relativo a la protección de las personas físicas en lo que respecta al tratamiento de datos personales y a la libre circulación de estos datos y por el que se deroga la Directiva 95/46/CE), dispondrán el marco general normativo de protección de datos al que están sujetas las partes del presente Convenio.

A los efectos de la ejecución de la presente Cláusula por las partes, éstas quedarán obligadas al deber de confidencialidad y seguridad de los datos de carácter personal establecido en la normativa sobre protección de datos de carácter personal vigente en cada momento:

— A la utilización de los datos de carácter personal, única y exclusivamente, en el marco y para las finalidades determinadas en el presente Convenio.

— A la adopción, en todas aquellas previsiones que estén contempladas en las actividades que forman parte del Convenio, de las medidas de índole técnica y organizativa establecidas en Ley Orgánica 3/2018,de 5 de diciembre, de Protección de Datos Personales y garantía de derechos digitales, que garanticen la seguridad de los datos de carácter personal, y que eviten su alteración, pérdida o tratamiento no autorizado, habida cuenta del estado de la tecnología, la naturaleza de los datos almacenados y los riesgos a que están expuestos, ya provengan de la acción humana o del medio físico o natural.

— A la adopción, en todo caso, ya que los datos objeto de tratamiento del presente Convenio son datos especialmente protegidos, de las medidas de seguridad correspondientes al nivel de seguridad alto del Título VIII de medidas de seguridad del RD 1720/2007, de conformidad con el artículo 81 de dicho Reglamento, y en particular de las detalladas en los artículos 103 (registro de accesos) y 104 (telecomunicaciones).

— A obligar al secreto profesional a todas las personas que prestan sus servicios en la Comunidad de Madrid y en el Ministerio de Defensa respecto de los datos de carácter personal en cualquier fase del tratamiento de los mismos, obligación que subsistirá aun después de finalizar su relación con las partes o una vez finalizado el Convenio.

— A comunicar y hacer cumplir a ambas partes, a sus empleados y a cualquier persona con acceso a los datos de carácter personal las obligaciones establecidas en los apartados anteriores, especialmente las relativas al deber de secreto y medidas de seguridad.

— A no realizar copias, volcados o cualesquiera otras operaciones de conservación de datos, con finalidades distintas de las establecidas en el Convenio, sobre los datos de carácter personal a los que puedan tener acceso, salvo autorización expresa de la otra parte. En este supuesto, deberá destruir o devolver a la otra parte los datos accedidos, al igual que cualquier resultado del tratamiento realizado, y cualquier soporte o documento en el que se hallen.

Las partes se comunicarán entre ellas, de forma inmediata, cualquier incidencia en los sistemas de tratamiento y gestión de la información, que haya tenido o pueda tener como consecuencia: la alteración, la pérdida o el acceso a datos de carácter personal, o la puesta en conocimiento por parte de terceros no autorizados de información confidencial obtenida para el cumplimiento del Convenio.

En el caso de que cualquiera de las partes destine los datos a otra finalidad, los comunique o los utilice incumpliendo las obligaciones especificadas en el Convenio de Referencia, o cualesquiera otra exigible por la normativa, la parte implicada deberá responder de las infracciones en que hubiera incurrido, estando sujeta, en su caso, al régimen sancionador establecido en los artículos 70 a 78 de la Ley Orgánica 3/2018, de 5 de diciembre.

Asimismo, las partes serán responsables de forma exclusiva frente a terceros de cualesquiera infracciones que pudieran derivarse del tratamiento de datos una vez recibidos o cedidos desde la otra parte, de esta forma, la otra parte quedará exenta de cualquier incumplimiento, respecto de la normativa de protección de datos, desde el mismo momento en que se realice la entrega de datos a las mismas.

Decimotercera

Régimen de Modificación

La Comunidad de Madrid y el MDEF podrán suscribir de común acuerdo, mediante adenda, cláusulas adicionales, en las que se determinarán variables técnicas, asistenciales, económicas, así como los programas selectivos de dispensación ambulatoria de medicamentos con financiación específica, y variables de otra índole, sin perjuicio de las condiciones establecidas en el mismo. Asimismo, la Cláusula Adicional determinará el régimen de contraprestación de los servicios prestados al SERMAS. Deberá suscribirse con carácter previo al período de vigencia de la misma. Esta Cláusula Adicional podrá ser modificada o complementada en sus variables técnico-asistenciales y económicas, mediante Adenda por acuerdo de ambas partes.

La duración de estas Cláusulas Adicionales podrá ser de hasta dos años. En caso de que las partes no suscribieran una nueva Cláusula Adicional a la finalización de cada una de ellas, la Cláusula Adicional en vigor deberá prorrogarse, igualmente, mediante adenda.

En ningún caso, la vigencia de la Clausulas Adicionales podrá superar el período máximo de vigencia del Convenio.

En caso de que no se aprobasen Cláusulas Adicionales resultarán de plena aplicación las variables contenidas en el Convenio.

Todo ello, sin perjuicio de las eventuales modificaciones del Convenio, que se formalizarán mediante adenda, que puedan acordar las partes en el ejercicio de sus competencias, y con sometimiento a la legislación vigente.

Decimocuarta

Legislación aplicable

1. El Convenio se adaptará a las normas y disposiciones que se promulguen como desarrollo de la Ley 14/1986, de 25 de abril, General de Sanidad, y de la Ley 12/2001, de 21 de diciembre, de Ordenación Sanitaria de la Comunidad de Madrid y a cuantas normas y disposiciones puedan afectar a la naturaleza y capacidad de las partes firmantes.

2. El Convenio tiene carácter administrativo y le son aplicables los principios recogidos en la Ley 39/2015, de 1 de octubre, del Procedimiento Administrativo Común de las Administraciones Públicas, así como en la Ley 40/2015, de 1 de octubre, de Régimen Jurídico del Sector Público. Las cuestiones litigiosas que pudieran surgir -sin perjuicio de las facultades de la Comisión de Seguimiento y Control para resolver los problemas de interpretación, funcionamiento y cumplimiento del presente Convenio serán de conocimiento y competencia del Orden Jurisdiccional de lo Contencioso Administrativo.

3. De igual modo, el Convenio se ajustará en materia presupuestaria, económica y financiera al contenido de la Ley 9/1990, Reguladora de la Hacienda de la Comunidad de Madrid, la Ley 47/2003, de 26 de noviembre, General Presupuestaria y de la Ley Orgánica 2/2012, de 27 de abril, de Estabilidad Presupuestaria y Sostenibilidad Financiera y las que las modifiquen. La administración y cobro de los ingresos contemplados en la cláusula Séptima del presente Convenio se llevará a cabo según lo previsto en la Orden DEF/144/1998, de 18 de junio, por la que se establece el procedimiento de tramitación e información sobre ingresos en el ámbito del Ministerio de Defensa.

4. Igualmente, habrá de ajustarse a lo establecido en la Orden DEF/169/2003, de 11 de diciembre, que regula el procedimiento de celebración de los Convenios en el ámbito del Ministerio de Defensa, en lo que no se oponga a la Ley 40/2015, de 1 de octubre, de Régimen Jurídico del Sector Público.

5. Las partes se comprometen a que los datos de carácter personal facilitados, en ejecución del presente Convenio, cumplan los principios, obligaciones y garantías establecidos en la Ley Orgánica 3/2018,de 5 de diciembre, de Protección de Datos Personales y garantía de derechos digitales y en el Reglamento General de Protección de Datos (UE) 2016/679 del Parlamento Europeo y del Consejo de 27 de abril de 2016 relativo a la protección de las personas físicas en lo que respecta al tratamiento de datos personales y a la libre circulación de estos datos y por el que se deroga la Directiva 95/46/CE.

Decimoquinta

Vigencia

El presente convenio, tal y como recoge el artículo 48.8 de la Ley 40/2015, de 1 de octubre, de Régimen Jurídico del Sector Público, se perfeccionará por la prestación del consentimiento de las partes, y resultará eficaz una vez inscrito, en el plazo de 5 días hábiles desde su formalización, en el Registro Electrónico Estatal de Órganos e Instrumentos de Cooperación del Sector Público Estatal al que se refiere la disposición adicional séptima de la citada ley. Asimismo, será publicado en el plazo de 10 días hábiles desde su formalización en el “Boletín Oficial del Estado”. De acuerdo con lo establecido en el artículo 49.h de la Ley 40/2015 de 1 de octubre, de Régimen Jurídico del Sector Público su período de vigencia será de cuatro años, pudiendo prorrogarse por acuerdo unánime de las partes hasta cuatro años adicionales, formalizándose por escrito las prórrogas antes de la expiración del plazo de vigencia del Convenio o de la prórroga vigente.

Decimosexta

Extinción

1. Son causas de extinción del Convenio, de acuerdo con lo establecido en el artículo 51.1 de la Ley 40/2015, de 1 de octubre, el cumplimiento de las actuaciones que constituyen su objeto o incurrir en alguna de las causas de resolución previstas en el artículo 51.2 de la citada Ley.

2. Asimismo, serán causa de resolución:

a) Por decisión de una de las partes, que será comunicada a la otra con una antelación mínima de tres meses, realizándose un informe de las actuaciones realizadas hasta la fecha de extinción.

b) Cese de las actividades objeto de Convenio.

c) Fuerza mayor.

d) Imposibilidad sobrevenida del cumplimiento de su objeto.

e) Necesidades de la Defensa Nacional o de los cometidos propios del HCDGU-CSVE, o de la Comunidad de Madrid.

La resolución del Convenio no dará lugar a indemnización alguna entre las partes, sin perjuicio de proceder a la liquidación del mismo de acuerdo con lo establecido en el artículo 52 de la Ley 40/2015, de 1 de octubre.

Y en prueba de conformidad de cuanto antecede, firman el presente convenio en dos ejemplares originales, igualmente válidos, en Madrid, a 21 de junio de 2021.—Por el Ministerio de Defensa, La Subsecretaria de Defensa, María Amparo Valcarce García.—Por la Comunidad de Madrid, el Viceconsejero de Asistencia Sanitaria, Juan Jorge González Armengol.











































































(03/7.019/22)

Nota: El contenido del texto de la disposición que aquí se muestra no es necesariamente exacto y completo. Únicamente la disposición publicada con firma electrónica, en formato PDF, tiene carácter auténtico y validez oficial.

Sección 1.4.108.1: I. COMUNIDAD DE MADRID

Madrid Comunidad Digital
Código de Verificación Electrónica (CVE): BOCM-20220419-63