Boletín Oficial de la Comunidad de Madrid - Núm 272

Fecha del Boletín 
15-11-2021

Sección 1.2.29.1: I. COMUNIDAD DE MADRID


Código de Verificación Electrónica (CVE): BOCM-20211115-8

Páginas: 68


I. COMUNIDAD DE MADRID

B) Autoridades y Personal

CONSEJERÍA DE ECONOMÍA, HACIENDA Y EMPLEO

8
RESOLUCIÓN de 2 de noviembre de 2021, de la Dirección General de Función Pública, por la que se aprueban las relaciones provisionales de aspirantes admitidos y excluidos en el proceso selectivo para el ingreso en el Cuerpo de Auxiliares de Administración General, Grupo C, Subgrupo C2, de la Comunidad de Madrid, se publica la relación provisional de excluidos y la de aspirantes que han solicitado adaptación, con indicación de si deben aportar, o no, documentación acreditativa de la adaptación solicitada.

Mediante Orden 1916/2019, de 7 de junio, de la Vicepresidencia, Consejería de Presidencia y Portavocía del Gobierno (BOLETÍN OFICIAL DE LA COMUNIDAD DE MADRID número 150, de 26 de junio de 2019), se convocaron pruebas selectivas para el ingreso en el Cuerpo de Auxiliares, de Administración General, Grupo C, Subgrupo C2 de la Comunidad de Madrid.

Por Resolución de 16 de noviembre de 2020 (BOLETÍN OFICIAL DE LA COMUNIDAD DE MADRID número 295, de 16 de diciembre), se publicaron las relaciones provisionales de aspirantes admitidos y excluidos en el proceso selectivo para el ingreso en el citado Cuerpo de Auxiliares, de Administración General, Grupo C, Subgrupo C2, de la Comunidad de Madrid, la relación provisional de excluidos y la de aspirantes que solicitaron adaptación, con indicación de si deben aportar, o no, documentación acreditativa de la adaptación solicitada.

Posteriormente, por Orden 539/2021, de 9 de marzo (BOLETÍN OFICIAL DE LA COMUNIDAD DE MADRID número 90, de 16 de abril), de la Consejería de Hacienda y Función Pública, se procedió a la ampliación del número de plazas correspondientes a las pruebas selectivas para el ingreso en dicho Cuerpo, otorgándose nuevo plazo de presentación de solicitudes de participación.

De conformidad con lo establecido en las bases octava y novena de la Orden 290/2018, de 27 de junio, de la Vicepresidencia, Consejería de Presidencia y Portavocía del Gobierno (BOLETÍN OFICIAL DE LA COMUNIDAD DE MADRID número 163, de 10 de julio), por la que se aprueban las bases generales por las que se regirán las convocatorias de procesos selectivos de personal funcionario de Administración y Servicios de la Comunidad de Madrid, esta Dirección General, en uso de las facultades que tiene atribuidas,

RESUELVE

Primero

Aprobar las relaciones provisionales de aspirantes admitidos y excluidos en las referidas pruebas selectivas, que se expondrán en los tablones de anuncios de las oficinas de asistencia en materia de registro cuyas direcciones pueden consultarse en el enlace: http://www.comunidad.madrid/servicios/informacion-atencion-ciudadano/red..., o a través del Portal del Ciudadano de la Comunidad de Madrid.

Asimismo, a efectos meramente informativos, dichas relaciones se encontrarán disponibles en la página web: http://www.comunidad.madrid/servicios/empleo/auxiliares- administracion-general-c2-2019

Segundo

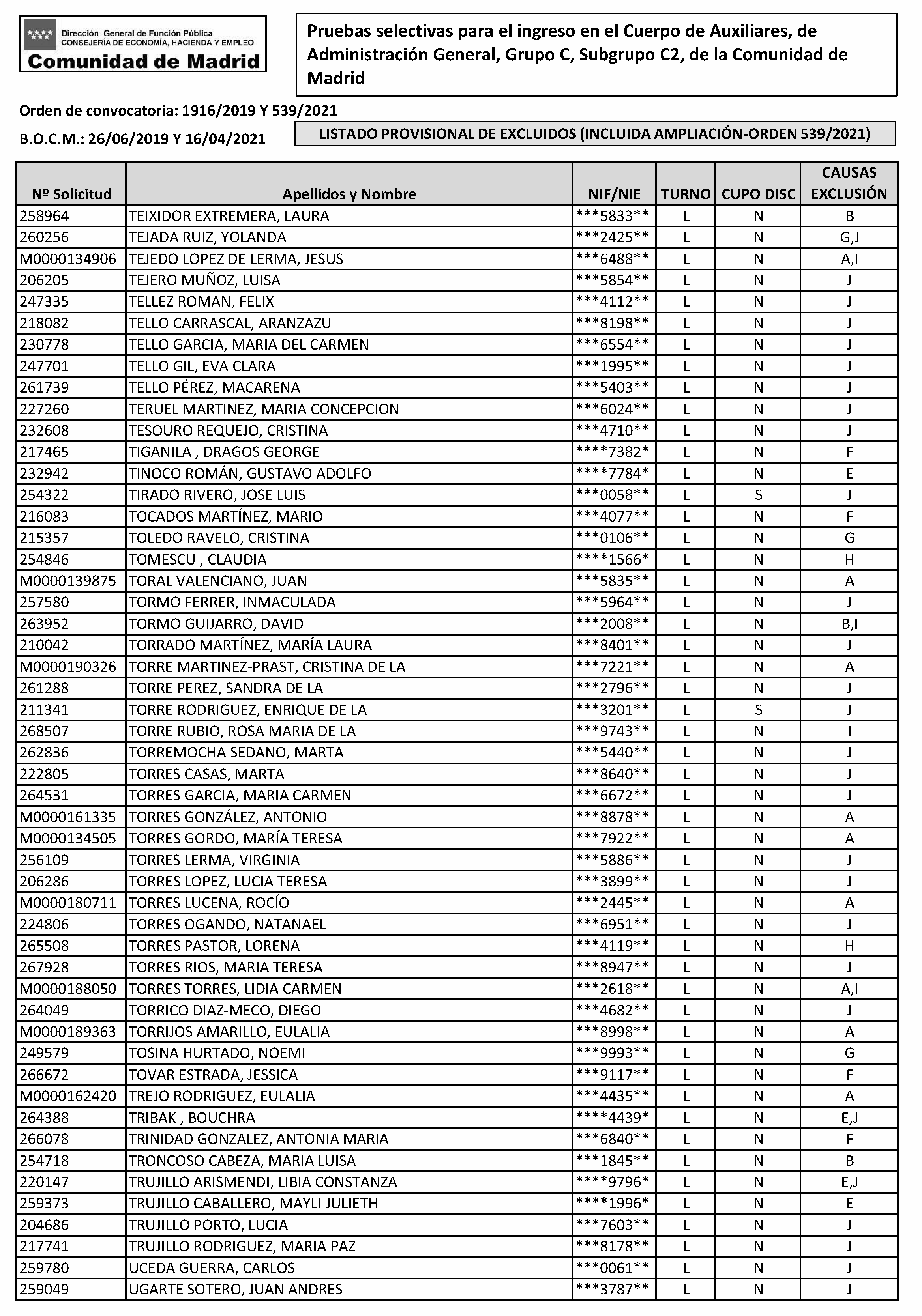
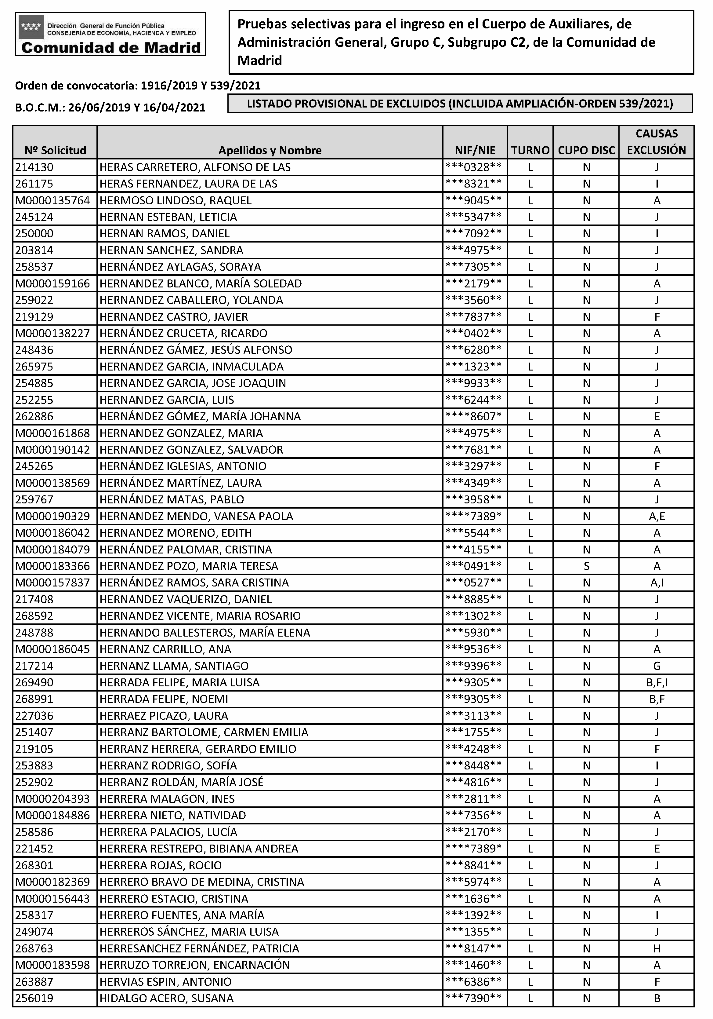
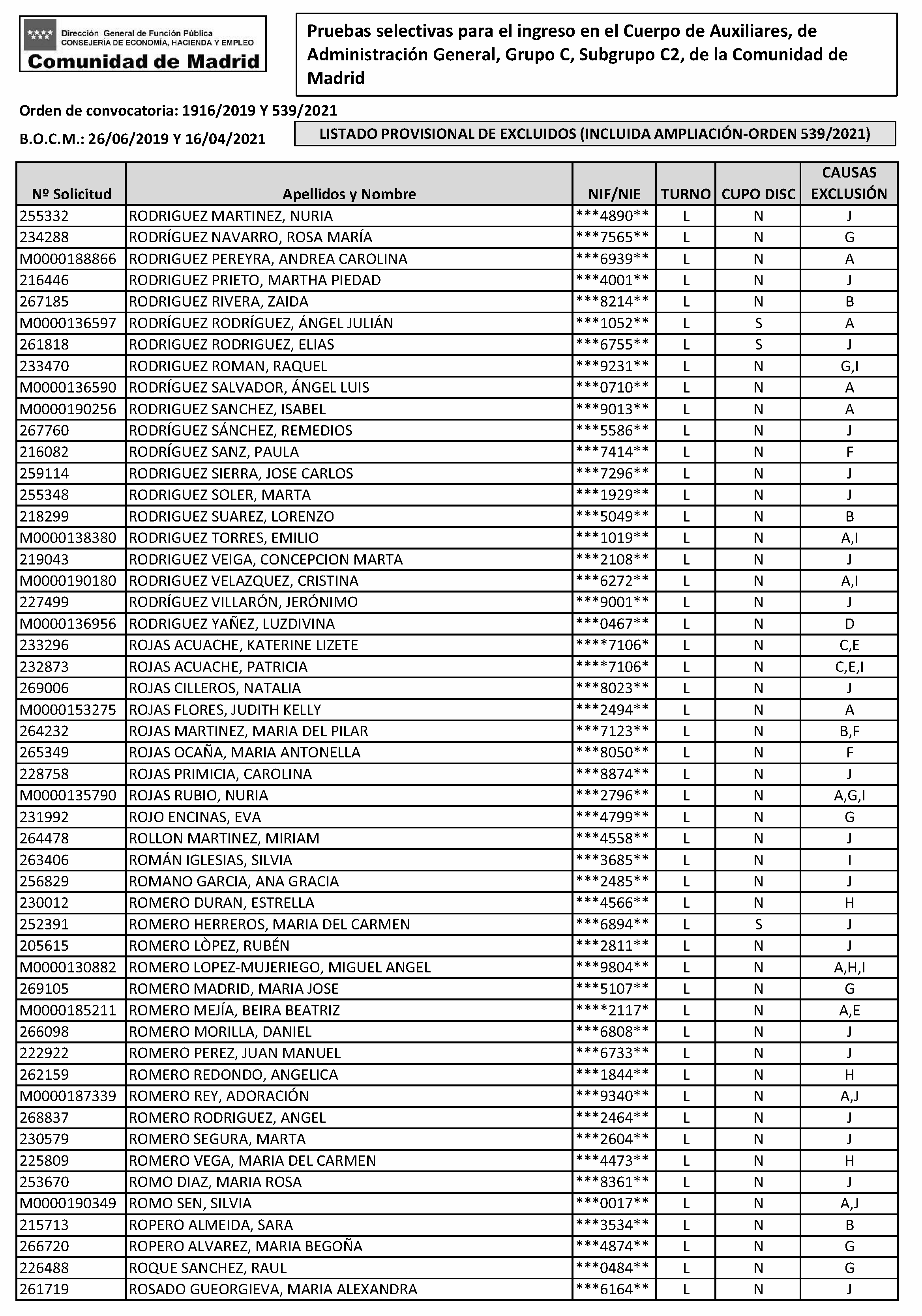
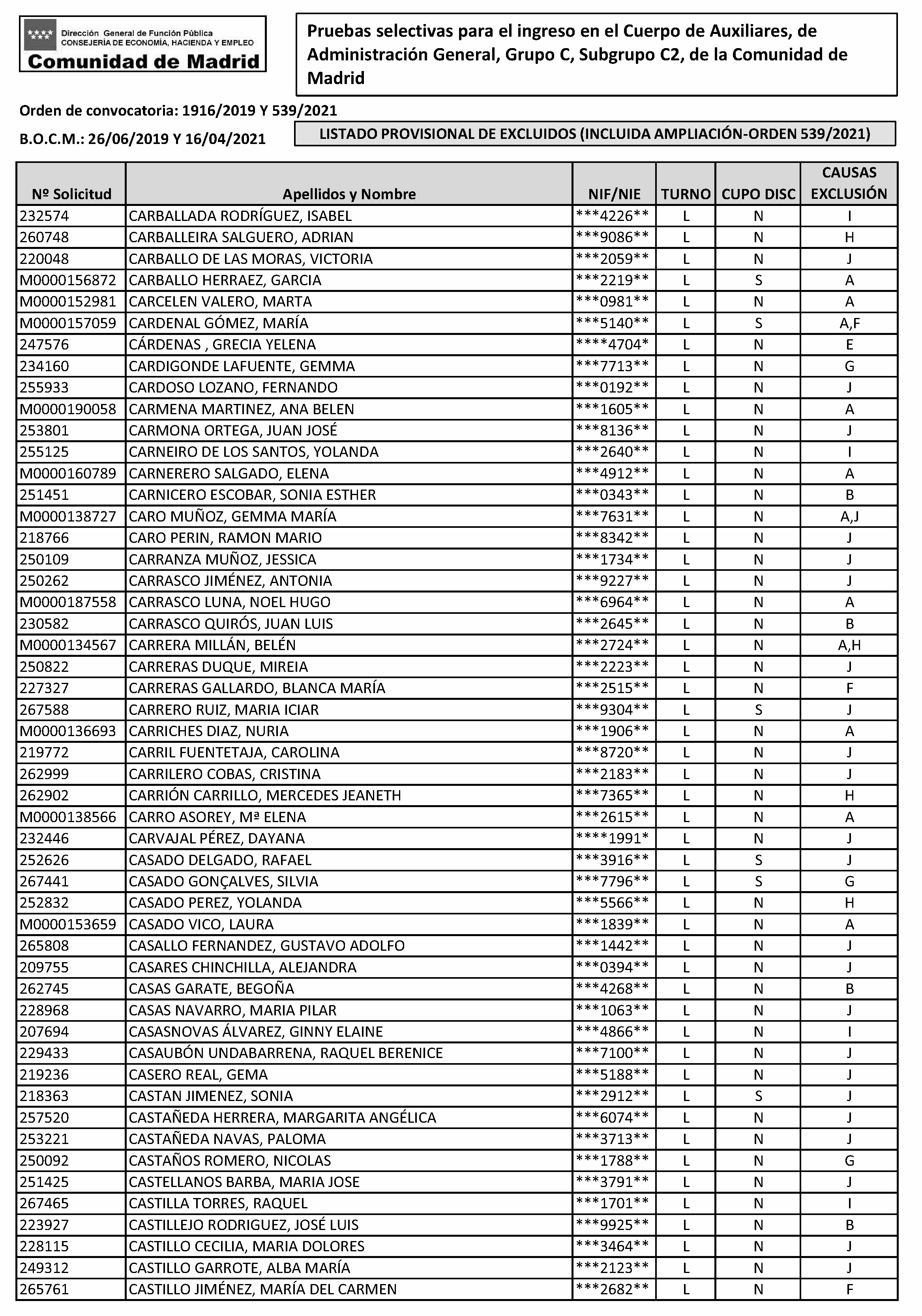
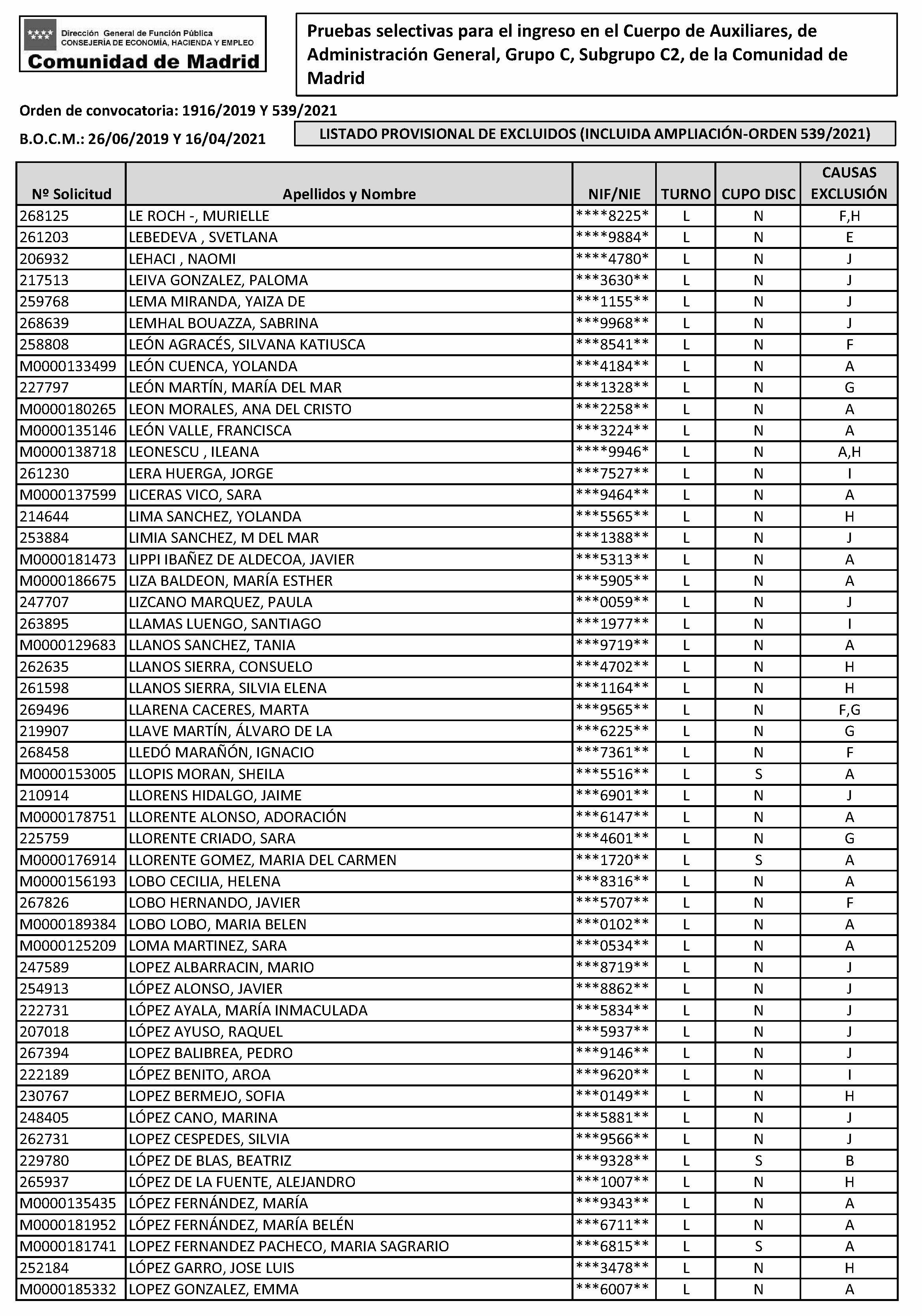
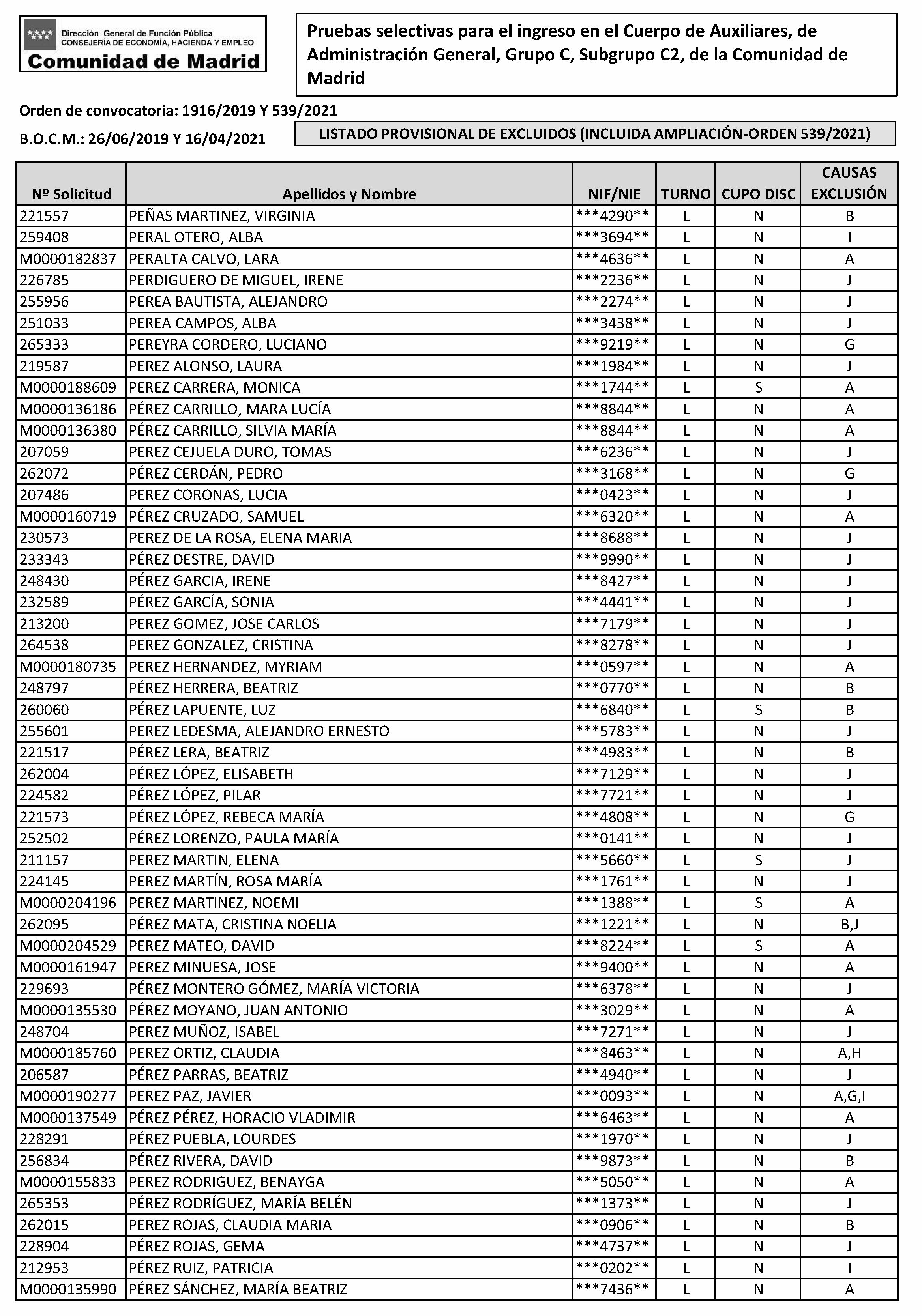
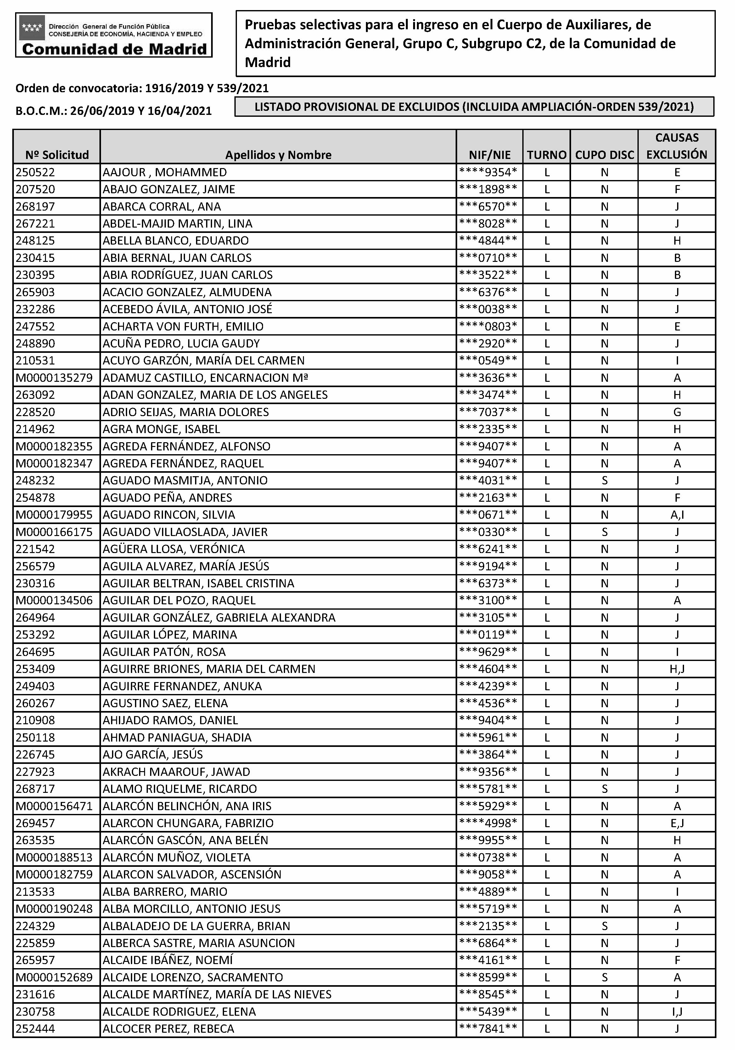
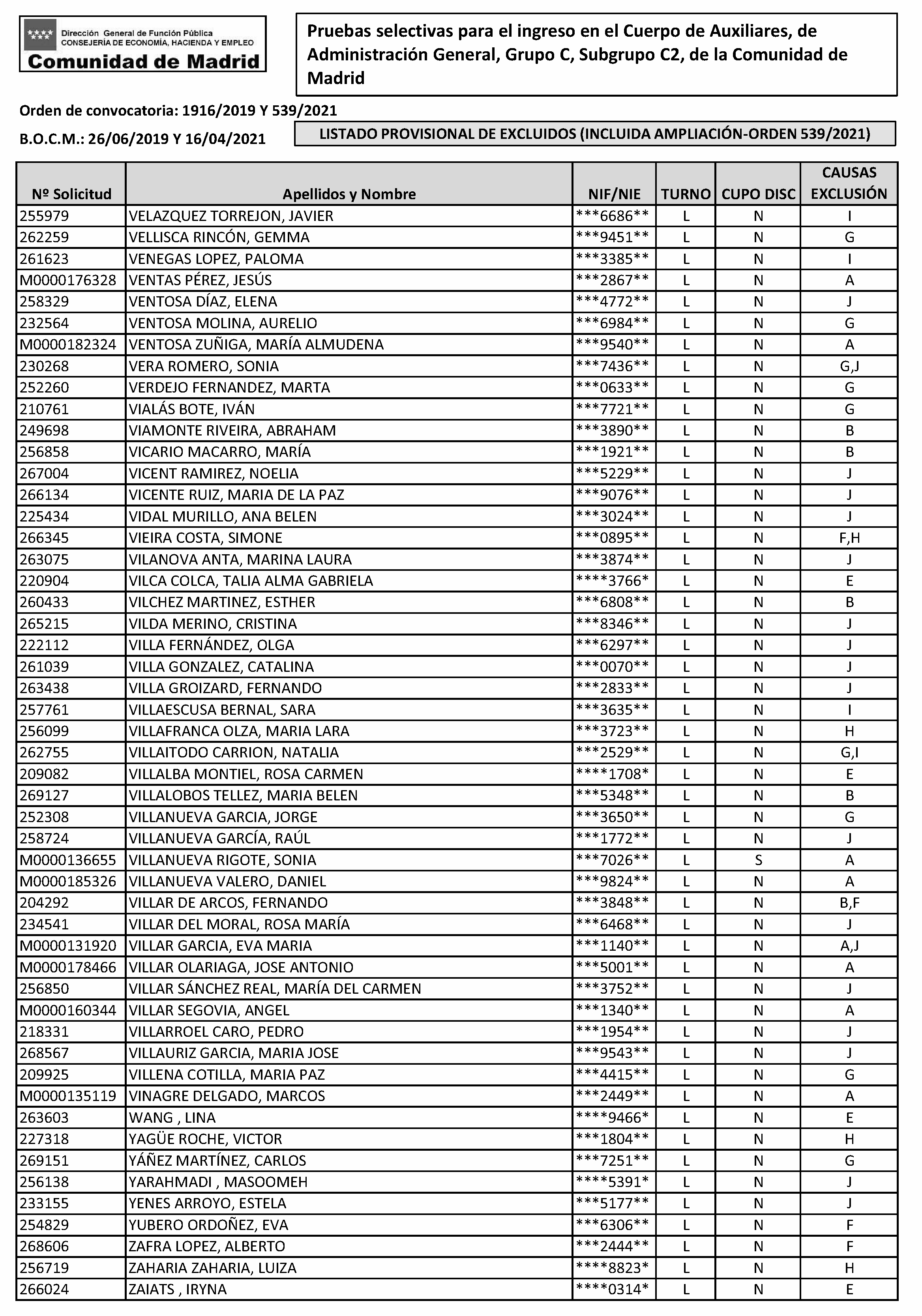
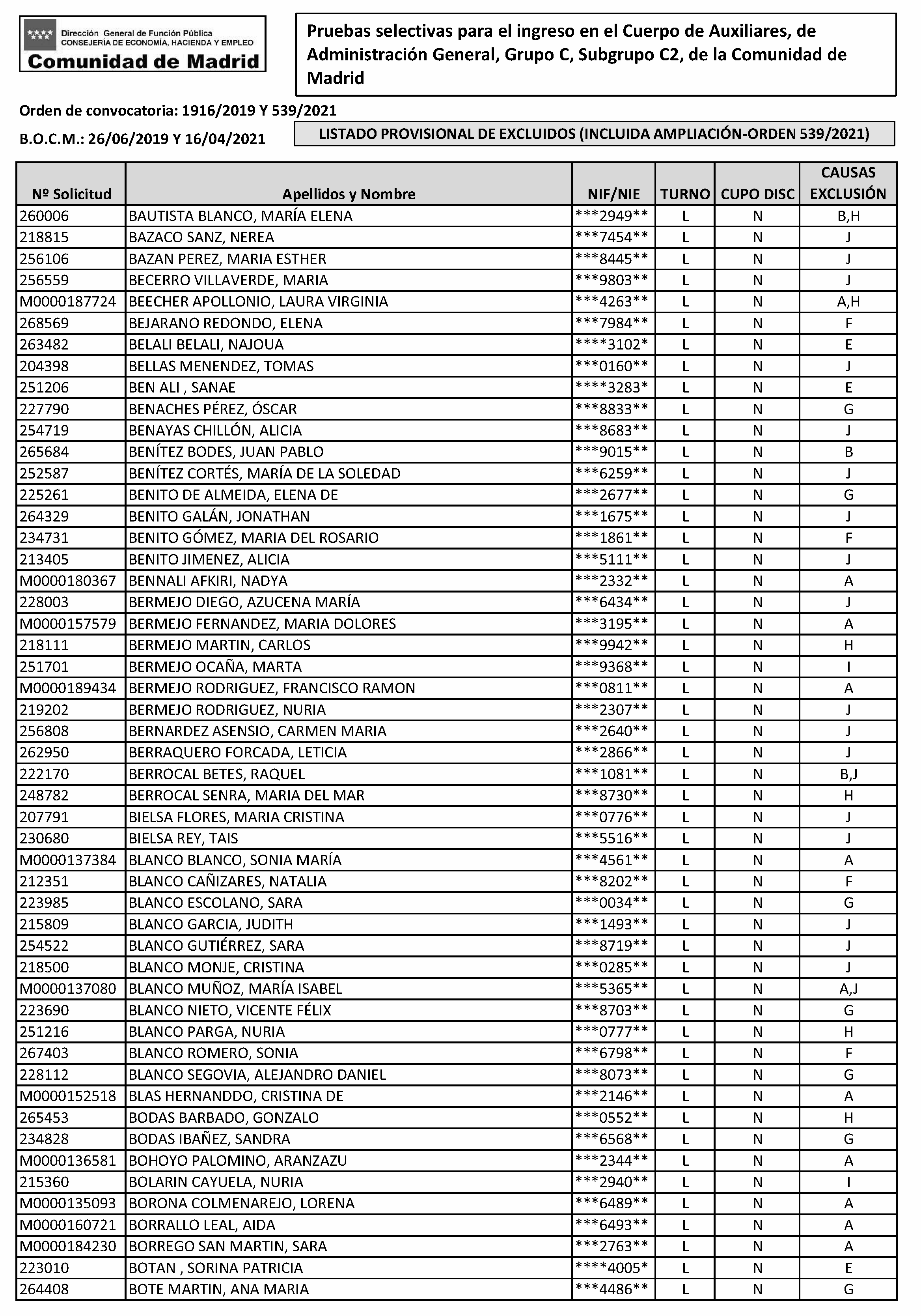
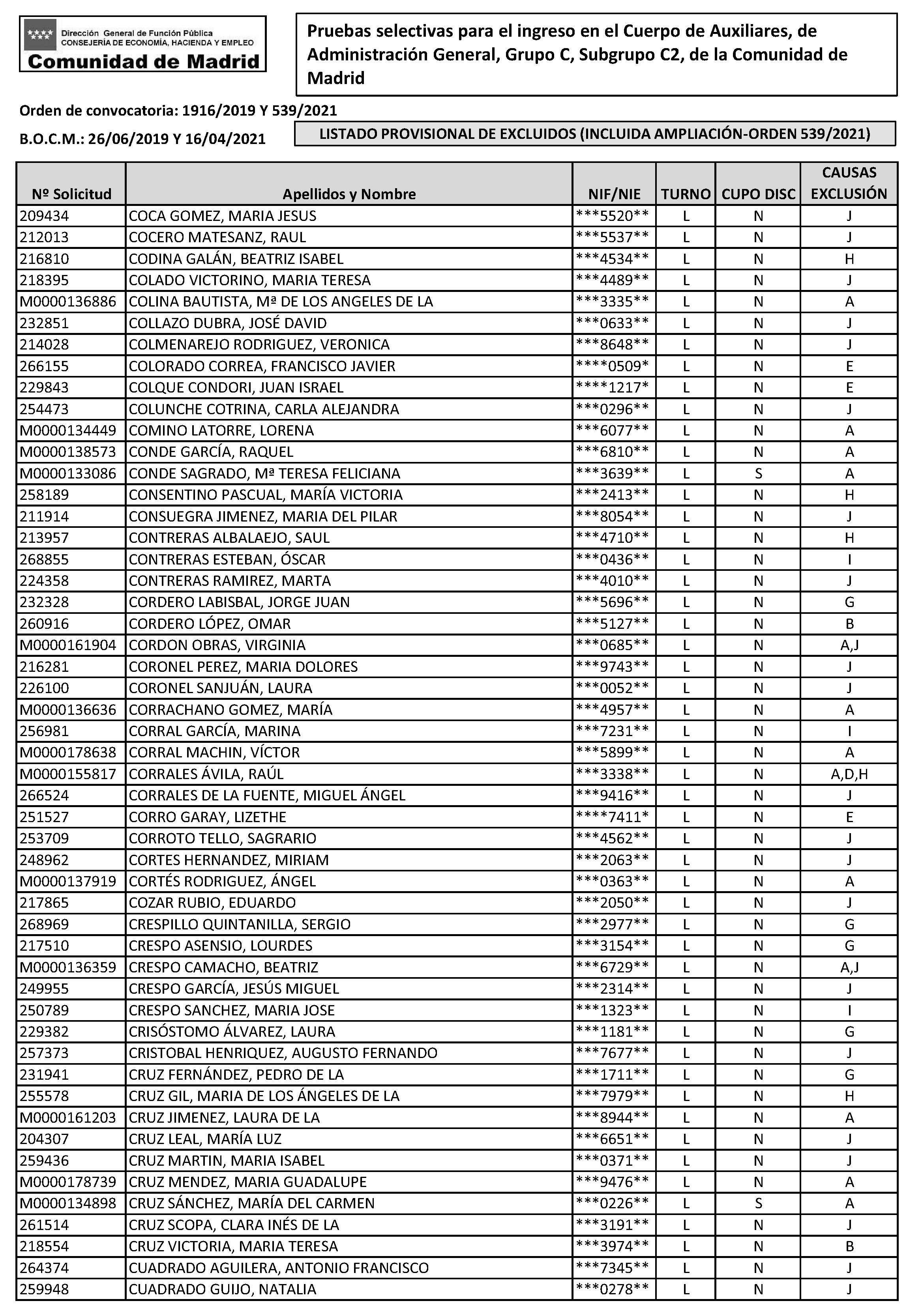
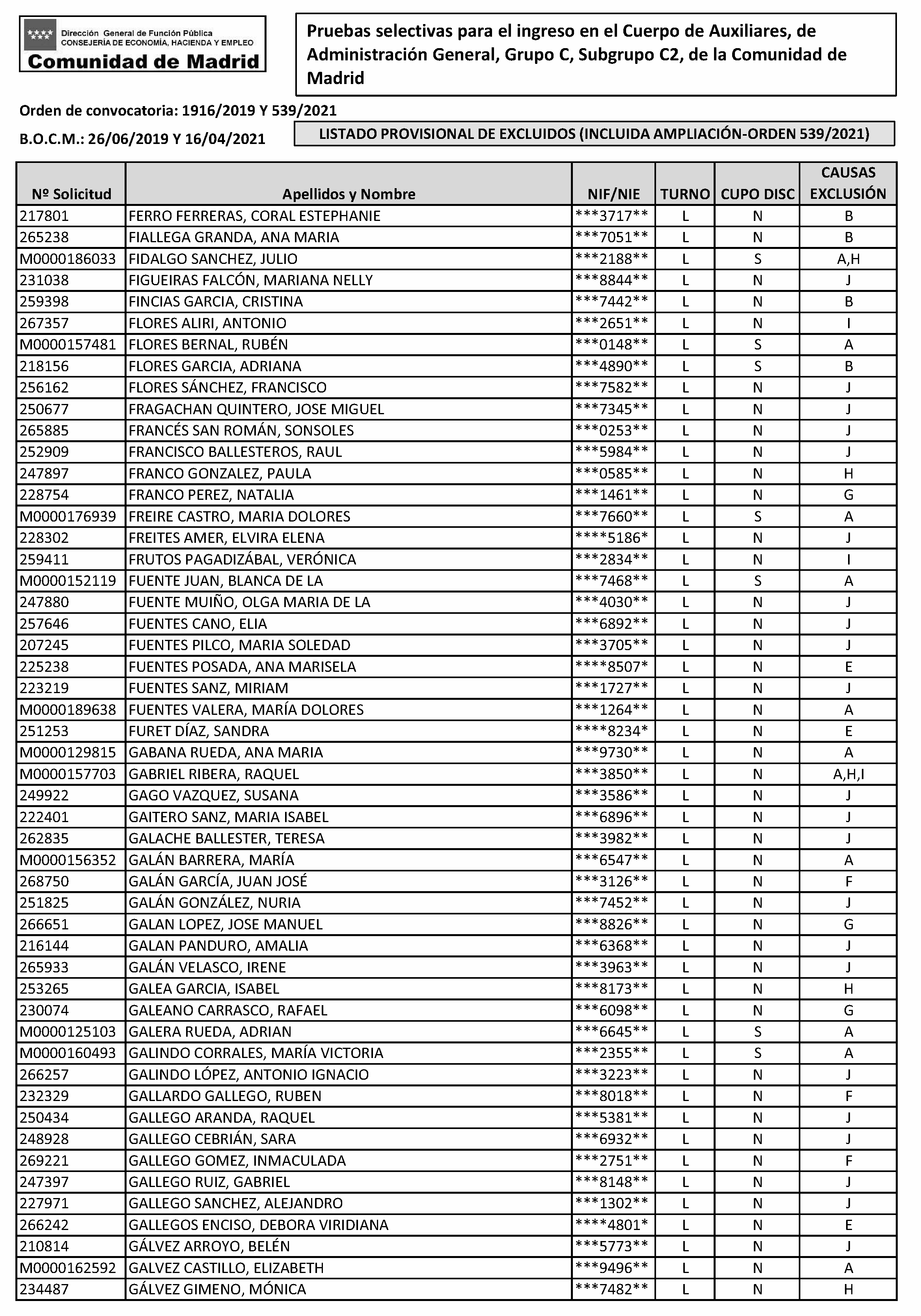
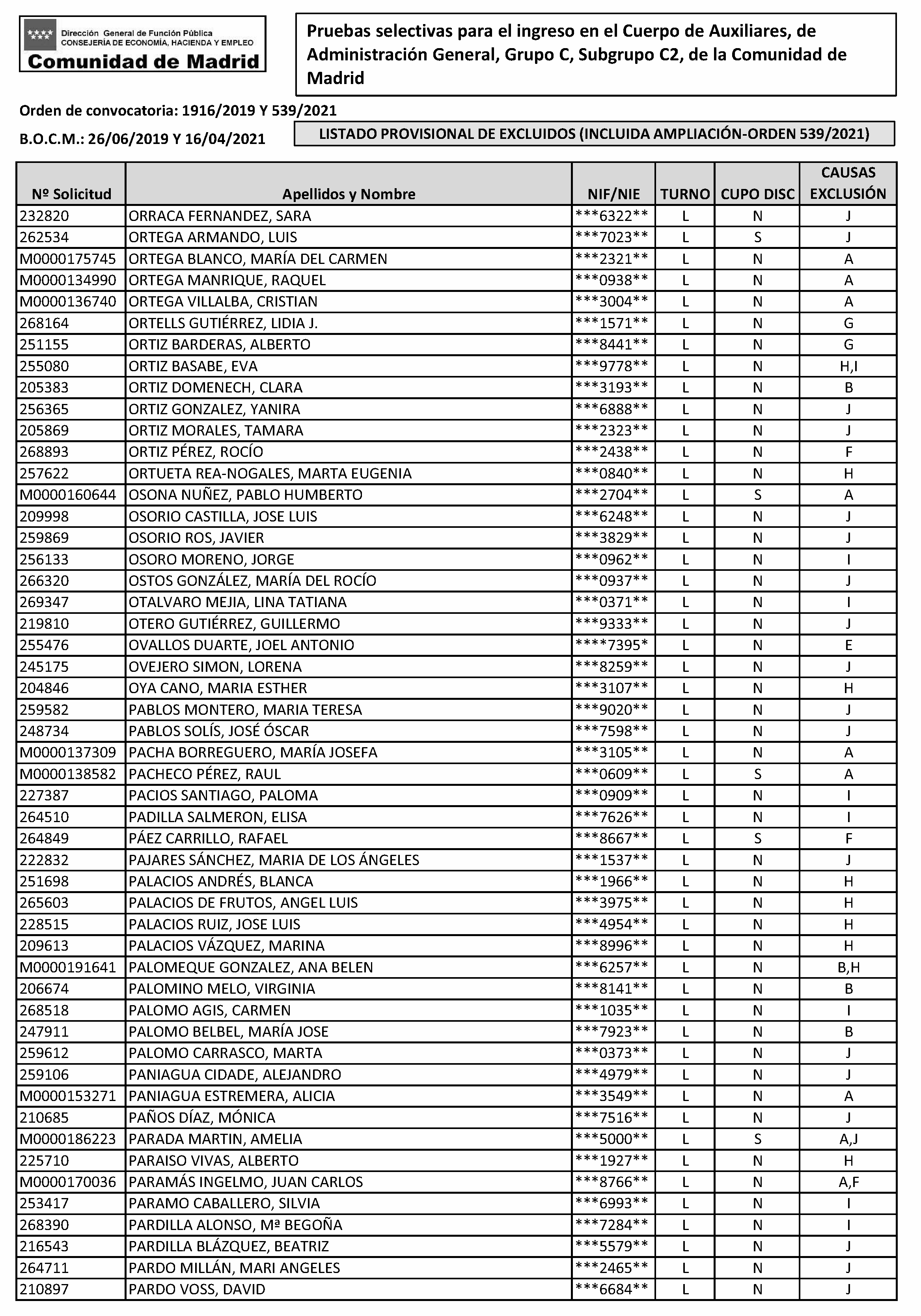
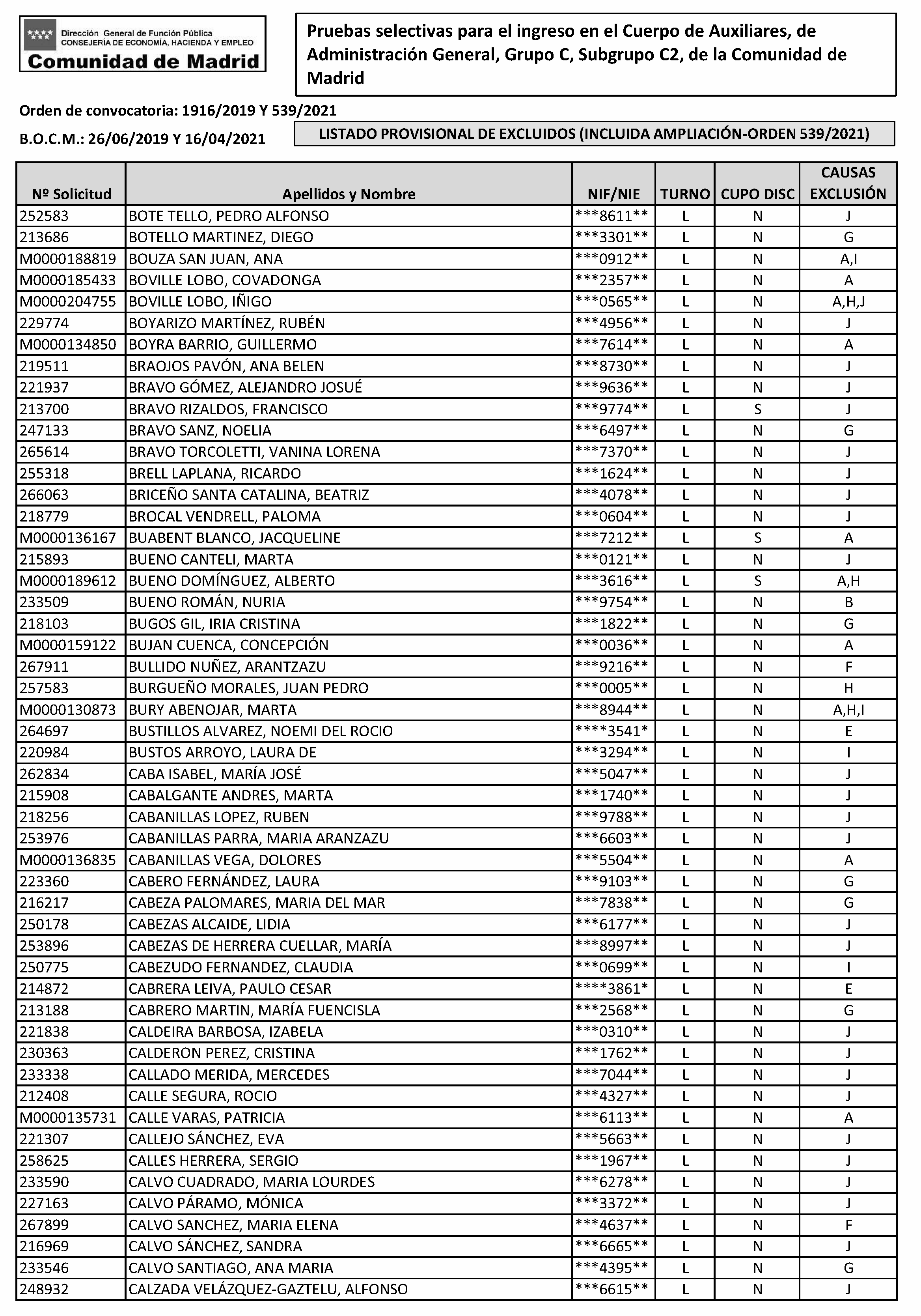
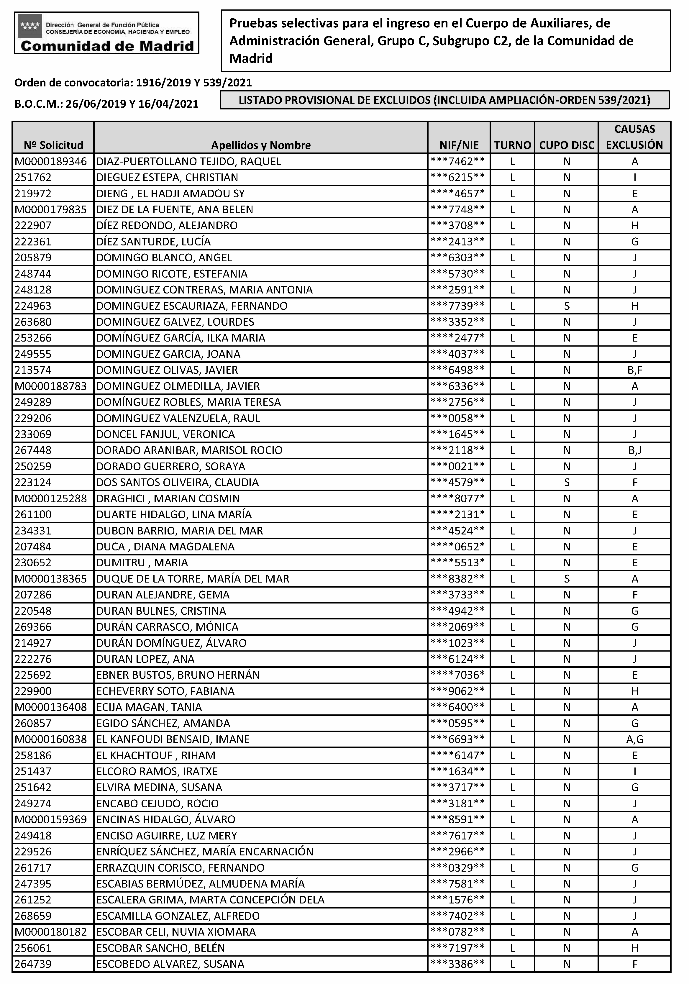
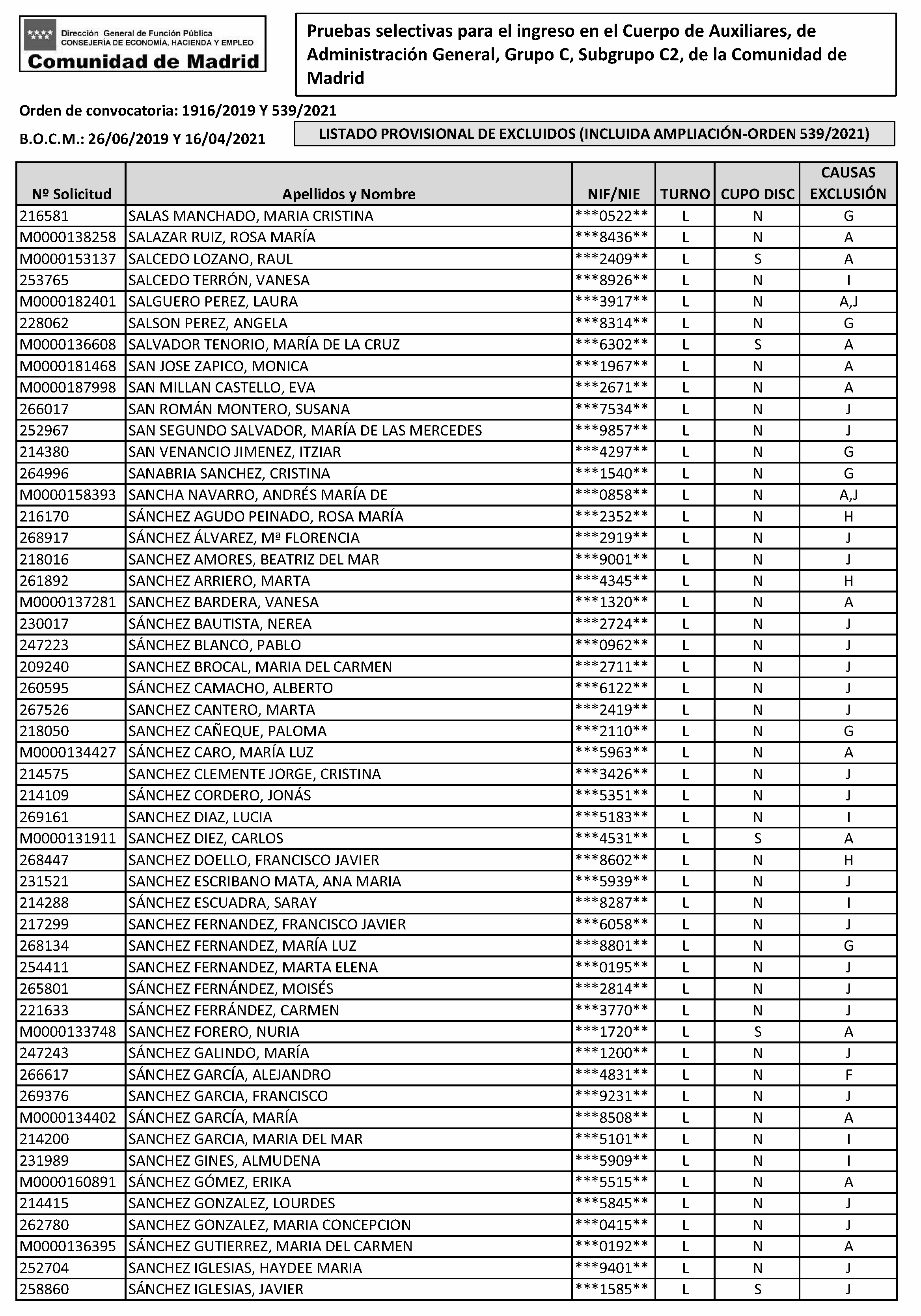
Publicar, como Anexo I a esta resolución, la relación provisional de aspirantes excluidos en el mencionado proceso selectivo.

Tercero

Publicar, como Anexo II, la relación de aspirantes que han solicitado adaptaciones con indicación de si deben aportar, o no, la documentación acreditativa de la necesidad de la/s adaptación/es solicitada/s, en los términos previstos en el apartado quinto, punto quinto de la presente resolución.

Cuarto

De acuerdo con lo previsto en el apartado sexto de la base octava y en el apartado segundo de la base novena de la reseñada Orden 290/2018, de 27 de junio, los aspirantes excluidos expresamente, los que no figuren en la relación de admitidos ni en la de excluidos, así como los que no figuren entre los aspirantes que han solicitado adaptación, dispondrán de un plazo de diez días hábiles, contados a partir del siguiente a la publicación de la presente resolución en el BOLETÍN OFICIAL DE LA COMUNIDAD DE MADRID, a fin de subsanar el/los defecto/s que haya/n motivado su exclusión o su no inclusión expresa en la relación provisional de admitidos al proceso por el turno, y en su caso cupo, que correspondiera y/o bien la falta de aportación de documentación acreditativa de la necesidad de la/s adaptación/es solicitadas, en su caso, y la no inclusión en la relación de aspirantes que hubieran solicitado la/s misma/s.

Quinto

1. La subsanación de defectos y/o causas de exclusión y/o la aportación de la documentación acreditativa se realizará mediante el impreso que, a tal efecto, se incorpora a esta resolución, y en los términos establecidos en el mismo, pudiendo cumplimentarse de forma manual, o por medios electrónicos accediendo al mismo a través de la página web de la Comunidad de Madrid: http://www.comunidad.madrid/servicios/empleo/auxiliares-administracion-g..., en la sección “Listados de admitidos y excluidos”.

2. El impreso de subsanación, junto con la documentación acreditativa que, en su caso corresponda, se dirigirán a la Dirección General de Función Pública de la Consejería de Economía, Hacienda y Empleo, debiendo ser presentados en cualquiera de los lugares y formas que se indican a continuación:

a) El impreso cumplimentado por medios electrónicos podrá presentarse por Internet, utilizando el formulario disponible en www.comunidad.madrid, de conformidad con lo establecido en el punto 1 de este apartado quinto, anexándose al mismo, en el momento de su presentación, la documentación justificativa que, en su caso, hubiera de aportarse. La presentación podrá realizarse en el registro electrónico de la Comunidad de Madrid, así como en los restantes registros electrónicos de cualquier Administración Pública, según lo establecido en el artículo 16.4.a) de la Ley 39/2015, de 1 de octubre.

Para la presentación por medios electrónicos, es necesario disponer de uno de los Certificados Electrónicos reconocidos o cualificados de firma electrónica, que sean operativos en la Comunidad de Madrid y expedidos por prestadores incluidos en la “Lista de confianza de prestadores de servicios de certificación” o cualquier otro sistema de firma electrónica que la Comunidad de Madrid considere válido en los términos y condiciones que se establezcan específicamente para cada tipo de firma.

De no optar por la presentación telemática, los participantes, una vez que hubieran cumplimentado el impreso por medios electrónicos, deberán imprimir y firmar el documento obtenido, y presentarlo, junto con la documentación que, en su caso, proceda, en alguno de los lugares que se relacionan seguidamente en la letra b).

b) El impreso cumplimentado de forma manual, junto con la documentación correspondiente, serán presentados en cualquiera de las oficinas de asistencia en materia de registro, cuyas direcciones pueden consultarse en la página web de la Comunidad de Madrid, según indica el apartado primero, o en alguno de los demás lugares y formas establecidos en el artículo 16.4 de la Ley 39/2015, de 1 de octubre, de Procedimiento Administrativo Común de las Administraciones Públicas.

De efectuarse la presentación en una oficina de Correos, se hará en sobre abierto, con objeto de que se proceda a su fechado y sellado por el funcionario de dicha Entidad antes de su certificación, debiendo constar como destinatario la Dirección General de Función Pública, Consejería de Economía, Hacienda y Empleo (calle Los Madrazo, número 34, 28014 Madrid).

3. Los aspirantes que hubieran de subsanar deberán marcar la causa de exclusión que les resulte aplicable y cumplimentar los datos y/o presentar la documentación acreditativa que resulte necesaria para la subsanación.

4. Aquellos aspirantes que no figuren en la relación de admitidos ni en la de excluidos habrán de marcar la causa identificada con el código “Z” del modelo de subsanación, acompañando al mismo copia de la solicitud de participación en las pruebas selectivas presentada en tiempo y forma, así como el resto de documentación que proceda en los términos indicados en la base tercera de la Orden 1916/2019, de 7 de junio.

5. Los aspirantes que hayan solicitado adaptación/es y no figuren en el Anexo II, así como aquellos que deban subsanar su solicitud, deberán marcar la casilla correspondiente del impreso de subsanación, aportar la documentación acreditativa de la necesidad de la adaptación solicitada y adjuntar copia del dictamen técnico facultativo emitido por un centro base de atención a personas con discapacidad de la Comunidad de Madrid, u órgano técnico competente para la calificación del grado de discapacidad de cualquier otra Administración, o en caso de personas sin discapacidad, copia de certificado médico oficial, documentos, todos ellos, que deberán contener, de manera expresa, los siguientes extremos:

1. Necesidad de la/s adaptación/es solicitada/s.

2. Descripción detallada de los medios materiales y humanos, de las asistencias y apoyos y de las ayudas técnicas y/o tecnologías asistidas que precisen para la realización de las pruebas en las que participen, así como condiciones de accesibilidad que haya de tener el recinto o espacio físico donde estas se desarrollen (uso de atril, traductor de lenguaje de signos, letra de tamaño superior a “x” milímetros, ampliación del tiempo de duración del ejercicio en “x” minutos, etc.).

En el caso de que la adaptación solicitada consista en un tiempo adicional para la realización de alguna de las pruebas, se deberá concretar el tiempo adicional solicitado, el cual deberá ajustarse a lo establecido en la orden PRE/1822/2006, de 9 de junio, por la que se establecen los criterios generales para la adaptación de tiempos adicionales en los procesos selectivos para el acceso al empleo público de personas con discapacidad.

Sexto

Se acepta el desistimiento de participación en el proceso selectivo de referencia, declarándose el mismo concluso respecto de los aspirantes incluidos en el Anexo I por la causa “W”, todo ello de conformidad con lo establecido en el artículo 94, en relación con los artículos 84.1 y 21.1 de la Ley 39/2015, de 1 de octubre, del Procedimiento Administrativo Común de las Administraciones Públicas.

Séptimo

De no realizarse por los interesados la/s subsanación/es correspondiente/s en el plazo y forma establecidos o, si del examen de la documentación que, en su caso, hubieran aportado a tal fin, o de la obtenida de la consulta efectuada de oficio en los supuestos ya descritos, se deduce que no reúnen los requisitos exigidos, figurarán en la relación definitiva de aspirantes excluidos del proceso de referencia.

En el caso de aquellos aspirantes que deban aportar la documentación acreditativa de la necesidad de la/s adaptación/es solicitadas, la no presentación de la documentación requerida en el plazo indicado, dará lugar a que se les tenga por desistidos de su solicitud de adaptación.

Dado en Madrid, a 2 de noviembre de 2021.—La Directora General de Función Pública, María José Esteban Raposo.

































































































































(03/31.414/21)

Nota: El contenido del texto de la disposición que aquí se muestra no es necesariamente exacto y completo. Únicamente la disposición publicada con firma electrónica, en formato PDF, tiene carácter auténtico y validez oficial.

Sección 1.2.29.1: I. COMUNIDAD DE MADRID

Madrid Comunidad Digital
Código de Verificación Electrónica (CVE): BOCM-20211115-8