Boletín Oficial de la Comunidad de Madrid - Núm 44
Sección 3.10.20G: III. ADMINISTRACIÓN LOCAL AYUNTAMIENTOS
Código de Verificación Electrónica (CVE): BOCM-20210222-62
Páginas: 7
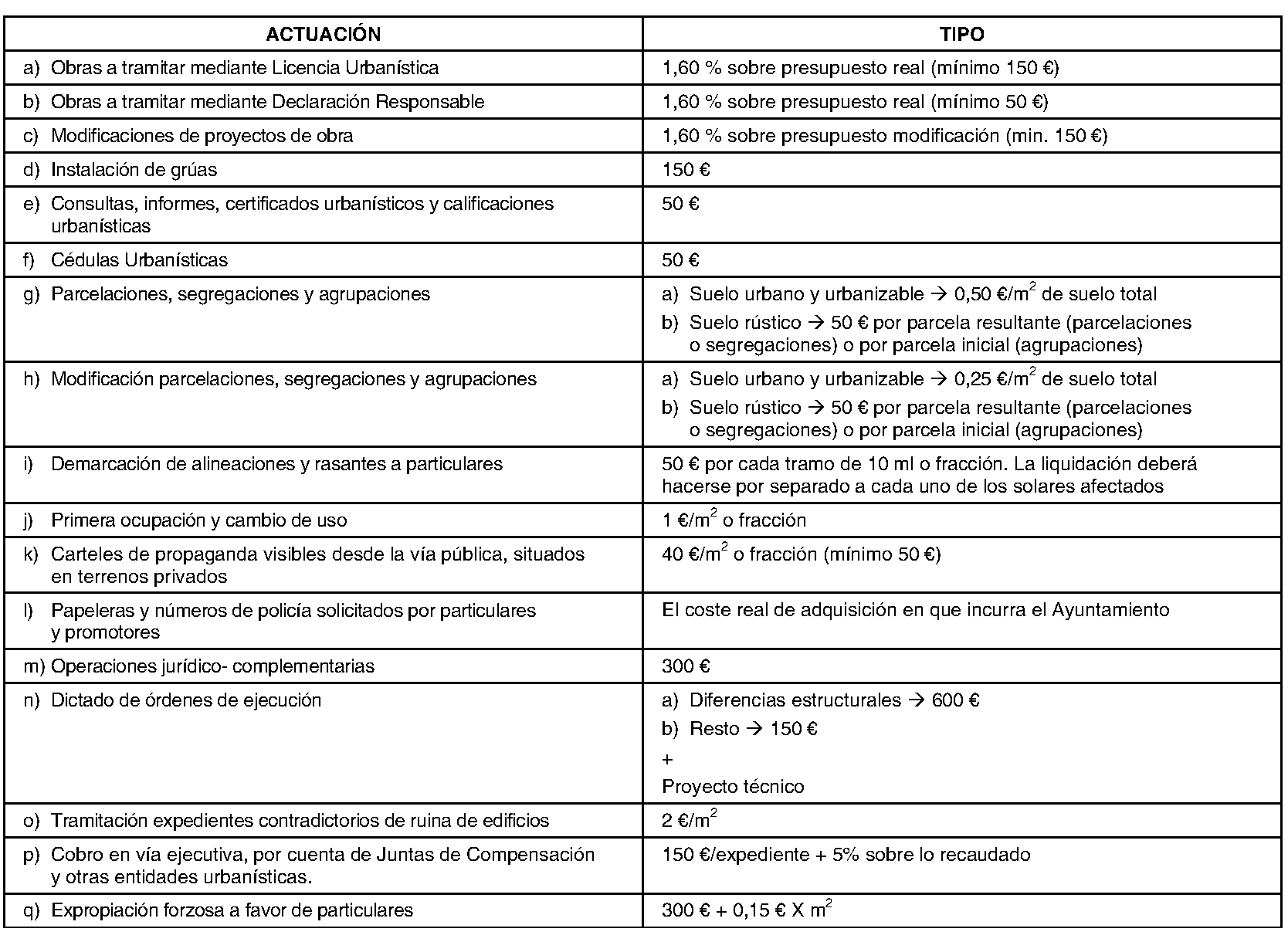
III. ADMINISTRACIÓN LOCAL
AYUNTAMIENTO DE GRIÑÓN
ORGANIZACIÓN Y FUNCIONAMIENTO

