Boletín Oficial de la Comunidad de Madrid - Núm 242
Fecha del Boletín
05-10-2020
Sección 1.4.108.1: I. COMUNIDAD DE MADRID
Código de Verificación Electrónica (CVE): BOCM-20201005-24
Páginas: 6
I. COMUNIDAD DE MADRID
D) Anuncios
CONSEJERÍA DE SANIDAD
24
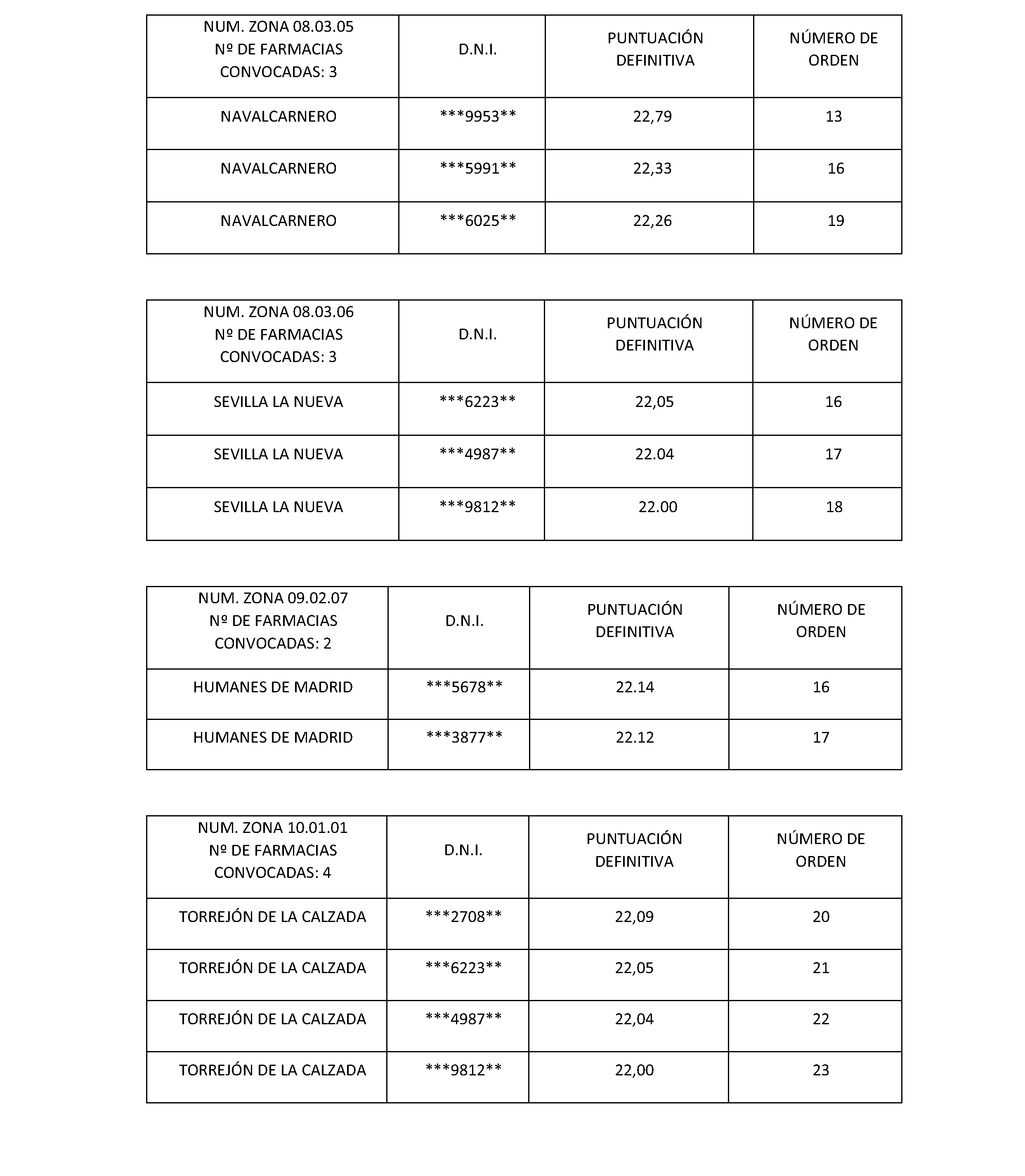
CORRECCIÓN de errores de la Resolución de 22 de septiembre de 2020, de la Dirección General de Inspección y Ordenación Sanitaria, por la que se continúa la aplicación de la Resolución de 6 de marzo de 2019 y siguientes, del Director General de Inspección y Ordenación, por la que se autoriza la apertura de nuevas oficinas de farmacia correspondientes a las zonas farmacéuticas recogidas en la Resolución de 5 de marzo de 2018, por la que se abrió un período de concurrencia pública en el procedimiento de adjudicación de autorización de apertura de nuevas oficinas de farmacia.
Nota: El contenido del texto de la disposición que aquí se muestra no es necesariamente exacto y completo. Únicamente la disposición publicada con firma electrónica, en formato PDF, tiene carácter auténtico y validez oficial.

