Boletín Oficial de la Comunidad de Madrid - Núm 73
Fecha del Boletín
26-03-2018
Sección 3.10.20C: III. ADMINISTRACIÓN LOCAL AYUNTAMIENTOS
Código de Verificación Electrónica (CVE): BOCM-20180326-48
Páginas: 13
III. ADMINISTRACIÓN LOCAL
AYUNTAMIENTO DE COLMENAR VIEJO
PERSONAL
48
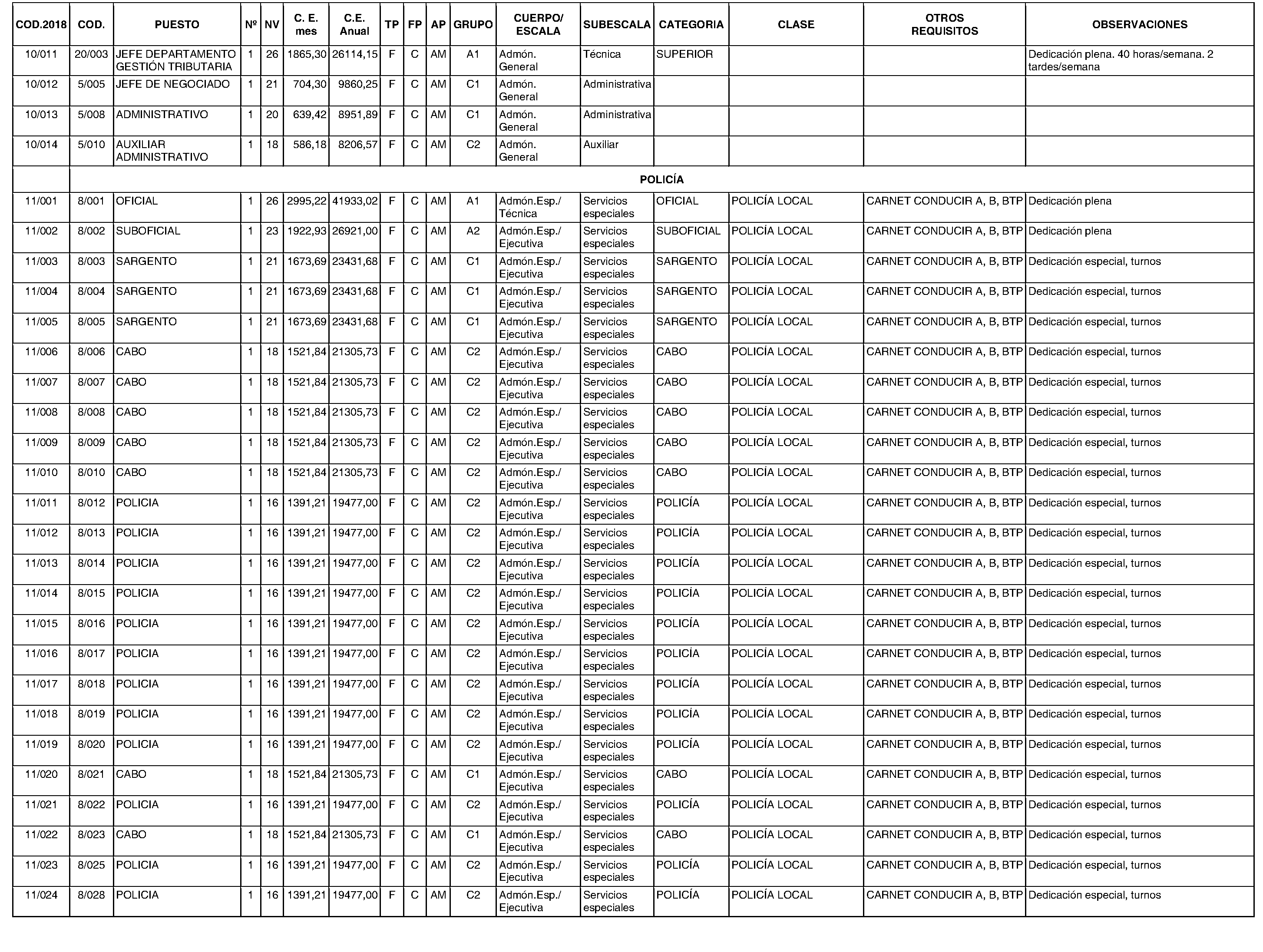
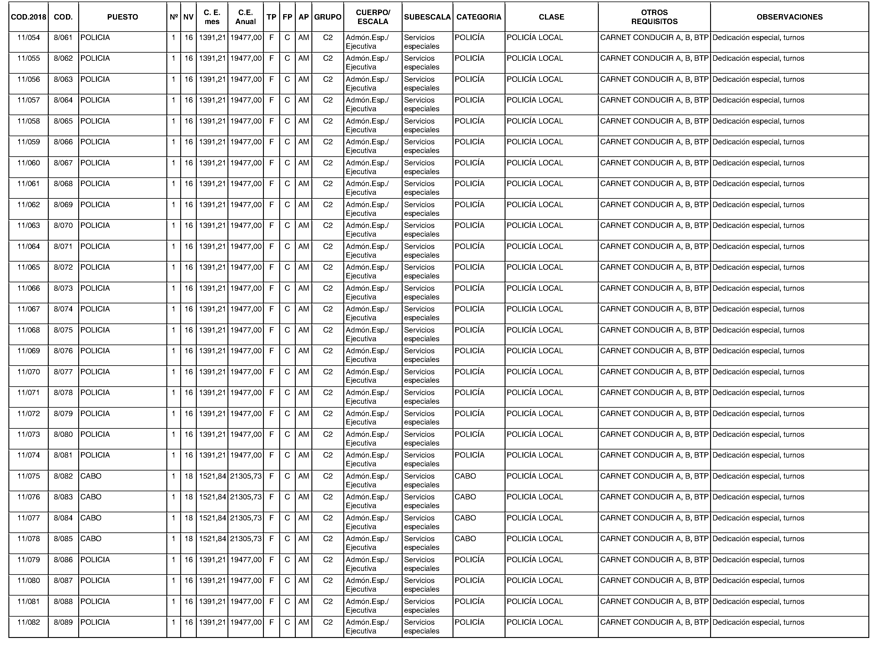
Colmenar Viejo. Personal. Relación puestos de trabajo
Nota: El contenido del texto de la disposición que aquí se muestra no es necesariamente exacto y completo. Únicamente la disposición publicada con firma electrónica, en formato PDF, tiene carácter auténtico y validez oficial.

